Introduction
Despite being a relatively new phenomenon, video-on-demand (VoD) services have inspired a large volume of research.2 Being a mediator between viewers and audiovisual content, the interface is an important mediator shaping the user’s experience of the service and for attracting attention to content.3 For commercial VoD services, such as Netflix, optimizing the VoD interface and the content composition via personalization technology is a key to prevent churn and ensure returning customers.4 For noncommercial VoD services, more precisely VoD services offered by public service media (PSM) organizations, churn and user satisfaction are not the only problems. While still fighting for user attention, PSM VoD services have a mission, a history, and a catalog that are very different from those of their commercial competitors. In either case, the current dilemma is a lack of robust methods for auditing VoD services. One approach to auditing focuses on “prominence”–for example, how prominent is a program or program type placed on the page or in an interface.5 One can, for example, assess to which extent a public service media VoD contributes to public value or public service obligations by measuring where in the VoD interface, for example, news, current affairs, or culture content is placed.6 In this article, we explore possible indicators to characterize VoD publishing based on the longitudinal analysis of front pages. By indicator, we mean consistent features that occur across many VoD services and which can thus be analyzed and compared at scale, such as the number of unique programs per day. The objective of this article is to suggest indicators that can characterize public service VoD services specifically.
The methodology developed in this article is in its infancy, and as such, many relevant aspects of the VoD content exposure such as the content, content categories, or genres are not examined in this article.7 Adding these aspects to an approach could be helpful at a later stage, for example, for understanding the PSM VoD interfaces in relation to PSM obligations, editorial policies, and regulation, as well as for understanding editorial praxis and developing interfaces and recommender systems. In the first place, we examine patterns of appearance, disappearance, and movement of content to understand the invisible “dance” of the content in the VoD interface or, to put it more simply, to explore how we can critically examine the publishing patterns of VoD services over periods of time.
Methodology
For this article, we are inspired by previous research exploring the longitudinal analysis of the publishing strategies of public service VoD services.8 To examine the appearance, movements, disappearance, and occasional reappearance of titles, which aspects of the VoD interface should be analyzed? Table 1 provides an overview of the possible analytical dimensions in the interface: the program titles, the deck titles, the additional program descriptions, and the program’s placement(s) on the page. These elements can be analyzed by simple counting, by analyzing changes over specific periods of time, or by detailed studies of, for example, a program title or a deck title.
Possible Dimensions and Approaches to Quantitative Analyses of Longitudinal VoD Publishing.
Data dimensions |
|||||
Decks |
Programs |
Category and other display text |
Position on page/in a row |
||
Possible approaches |
Days of appearance |
Count |
Count (unique or repeated) |
Type of text |
Position of title |
From day to day |
New, disappeared, reintroduced, renamed (same programs, new name); composition of the deck: selection and sequences of programs |
New, disappeared, reintroduced, multiple appearances |
Changes in text |
Movements of titles, positions of new and reintroduced titles, positions of renamed decks |
|
Changes over a longer time span |
New, disappeared, reintroduced |
New, disappeared, reintroduced |
Changes in text |
Movements of titles, positions of new and reintroduced titles |
|
Title-centric |
Follow a title over time |
Follow a title over time |
Changes in text |
Follow a title over time |
|
Content category-centric (e.g. news) |
Follow a genre over time |
Follow a genre over time |
Category information, publishing time stamp |
Follow a genre over time |
|
In this article, we are interested in patterns on VoD publishing structures in terms of how elements of the page are positioned on a day-to-day basis or over a longer period. Our purpose is to characterize these patterns leading toward a structure/rhythm-informed typology of VoD services: What are their differences and similarities in terms of publication patterns? This information, combined with qualitative contextual analyses of the VoD, could in later research be used to audit and evaluate the strategies of the VoD services and their parent PSM organizations compared with their actual performance. For the purposes of this article, however, the purpose of the comparison is simply to propose and test a series of indicators that we believe may be useful for other researchers; our intention is not to characterize, audit, or evaluate the VoD services themselves.
In an attempt to characterize these patterns, we apply a method borrowed from quantitative literary research, Moretti’s “distant reading,”9 which maps, plots, and analyzes particular properties of literary texts, such as the length of the title or the use of nouns in the title, over a large corpus of works. In this way, Moretti demonstrates a development from 1740 to 1860 in the titles of English novels: Due to increased competition, the title of the novel increasingly had to be recognizable and memorable; thus, it became shorter. Our time span is not as long, and we do not compare titles of novels but videos, their appearance, movements, disappearance, and occasional reappearance.
Moretti’s approach was likely inspired by Tukey’s “Explorative data analysis,” as a form of detective work using numbers, counting, and graphs.10 By representing data visually, one might see patterns otherwise invisible–a precursor for modern machine learning. However, in the spirit of exploratory data analysis, we see the plots we produce as providing possible hypotheses rather than definite conclusions.
In our approach, we value the human exploration of the data as each step of the exploration produces not only new discoveries but also reflections on research design and decisions. The “Explorative Data Analysis” method requires a “cleaned” dataset tractable for large-scale analysis. In our case, cleaning of the collected data consumed the majority of our research time and produced methodologically interesting questions (e.g., does a slightly differently spelled program or deck title constitute a new unique item?). The process of data cleaning is also part of interpreting the VoD service and thus cannot be fully automated. For the visual analysis, a number of computer scripts have been custom built by the author in a Python programming environment, using “Seaborn” Python and Pyplot libraries.11
Our selection of PSM VoD services is driven by technical feasibility. Some PSM VoD services are more difficult to retrieve data from than others, but each requires a custom-built data cleaning process that must be updated in case of VoD webpage redesign. We did not access the VoD services with a login or interact with the VoD pages; thus, we assume there is no personalization involved in the data that we retrieve. The VoD services were accessed daily (with a few exceptions due to technical problems) from the author’s computer, using a Danish IP address, via a Chrome or Firefox browser while storing cookies.12
The Dataset
Our proposed indicators for VoD publishing have emerged from a large, longitudinal dataset that tracks the front pages of twenty public service VoD services from five European countries (Denmark, Czechia, the Netherlands, Germany, and the United Kingdom). Each VoD has a different role in relation to their national public service environment and national media market: DRTV from DR in Denmark has all-round public service obligations, including news, and must–according to the public service contract–be an independent offer, not a catch-up service.13 Conversely, iVysilani from Česká Televize in Czechia changed December 2021 from a classic catch-up service, in the following referred to as “oldiVysilani,” to a modern VoD–in the following called the “newiVysilani.”14 The NPO Start from the Netherlands is a VoD platform shared among thirteen Dutch public service broadcasters. ARD Mediathek from Germany is home for sixteen different VoD services–some representing ARD flow-channels, while others represent each of the collaborating public service organizations within the ARD. Finally, iPlayer from the BBC in the United Kingdom represents one of the oldest PSM VoD services.
The twenty longitudinal datasets were collected from the twenty VoD interfaces by the author between December 2019 and February 2025. The datasets document day-by-day the program and deck titles and additional information visible on the front pages of the twenty VoD services, as well as the position of the programs and deck at the front page. A total of 3,412,061 program (tile) appearances for 176,637 unique program titles (on average 8,411 titles per VoD) are included in the datasets.15 The datasets are stored in a SQL database, accessed from custom-built python scripts producing filters, statics, and plots. Filters are used for day-to-day comparison plots to exclude sample periods that consist of less than six consecutive days; otherwise, changes cannot be calculated safely. The average length of consecutive days analyzed is 29.2 days; thus, the dataset has large coherent periods. Due to difficult cleaning problems with data from the Dutch VoD NPO, the number of analyzed days for NPO is 536, compared to the average number of analyzed days 809 (see Table 2 for an overview).
Our Dataset: Average Number and Standard Deviation for Number of Tiles and Unique Programs.
Country |
VoD |
Average number of tiles |
Standard deviation Number of tiles |
Number of days sampled |
|---|---|---|---|---|
Germany (ARD) |
Alpha |
177.84 |
32.11 |
870 |
ARD |
274.11 |
66.48 |
836 |
|
BR |
167.4 |
31.66 |
873 |
|
Das Erste |
253.33 |
58.31 |
877 |
|
Funk |
92.19 |
5.88 |
877 |
|
HR |
97.17 |
16.92 |
876 |
|
MDR |
208.37 |
36.37 |
871 |
|
NDR |
183.82 |
41.64 |
879 |
|
One |
214.08 |
46.03 |
873 |
|
Phoenix |
239.05 |
29.02 |
875 |
|
Radio Bremen |
184.01 |
46.4 |
873 |
|
SR |
206.61 |
58.23 |
876 |
|
SWR |
169.24 |
27.35 |
879 |
|
WDR |
244.48 |
33.86 |
877 |
|
Tagesschau24 |
169.43 |
21.72 |
877 |
|
Denmark |
DRTV |
269.53 |
48.94 |
1731 |
Netherlands |
NPO |
244.71 |
18.25 |
536 |
UK |
BBC |
94.25 |
5.14 |
776 |
Czechia |
New iVysilani |
107.64 |
30.23 |
1027 |
Old iVysilani |
33.51 |
1.64 |
520 |
Data Analysis
Following Tukey’s explorative data analysis approach, we begin by analyzing the basic properties of the data and make simple plots of unique programs per day for selected VoD services. Observing the differences between the number of programs (tiles) and number of unique program titles, we are then inspired to a closer analysis of the patterns of appearance of program titles. First, we analyze the general intensity of exposure for programs, followed by time-series analysis of appearances and reappearances for individual programs. Finally, we analyze the relative novelty (as opposed to duplication) of the content offered in the VoD interface. This allows us to understand the degree of content change over time: Is the VoD adding new content, or is the same content just being moved around at the interface?
Programs per Day
A prerequisite for constructing indicators is to identify basic properties of the datasets: How many programs does each VoD front page display per day, and how many days have been sampled? Besides detecting errors in the data or in its cleaning, these figures can inform us about the reliability of the indicators: Will they be based on a sufficient amount of data? The changes over time produce also an analytical challenge: Is a calculated average for the whole sample period a fair representation when numbers fluctuate over time? When we compare DRTV in Denmark (Figure 1) with the German News VoD Tagesschau24 (Figure 3), the plot of the latter shows around four sudden shifts in the amount of tiles and programs, indicating changes in the publishing strategy. For DRTV, the changes are less tangible until we apply machine learning software (Meta’s Prophet library in Python),16 with which we can see (in Figure 2) the shifting trends in the number of tiles. Contrary to these and most other VoD services, the BBC iPlayer (Figure 4) and the old version of the Czech TV VoD iVysilani have a more stable number of tiles. This is a result of those front pages having been designed with a fixed, rather than fluctuating, number of rows.
When tracking VoD services over time, it is best to select relatively stable time periods for analysis, as opposed to periods when measurements fluctuate, for example, the number of programs. Ultimately, we could consider each identifiable period a unique VoD service, labeled accordingly, for example, DRTV_1 and DRTV_2. Future research should be extended to detect these periods and calculate results for them separately. In the following, we will consider the whole sample period as one, acknowledging the shortcomings of this approach.
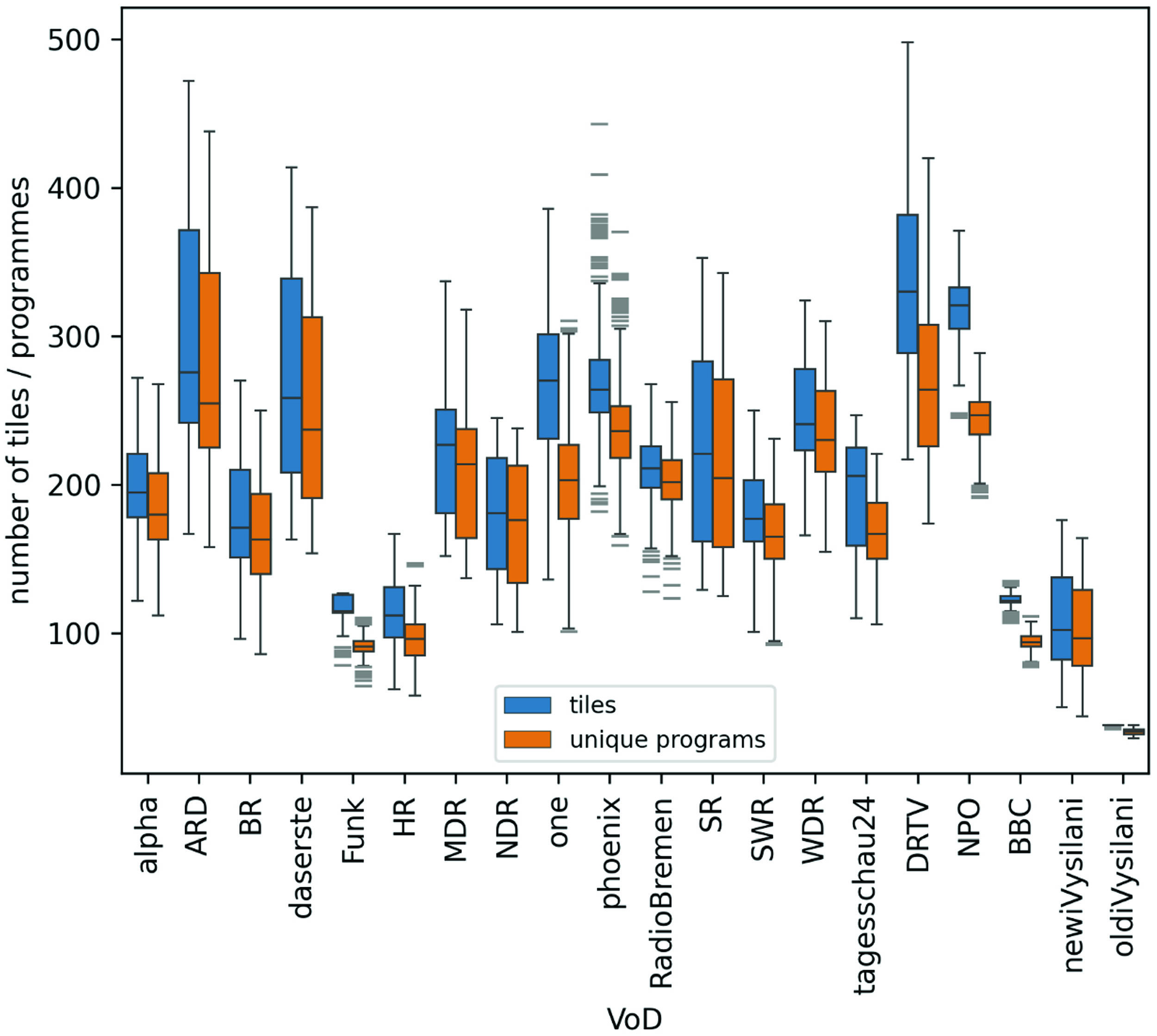
For comparison between VoD services and their deviations in number of tiles and programs, we can use a boxplot.17 Summarizing the differences among the twenty VoD services with respect to number of tiles and unique programs (but ignoring possible changes over time), the boxplot in Figure 5 illustrates that our selection of VoD services has a productive diversity; when characterizing the VoD services, we should be able to identify the descriptive power of the indicators we suggest.
Returning to our research question–how to characterize VoD services quantitatively–we propose to describe the size of the VoD as the average number of tiles per day. The variation over time, which can be observed in Figures 1–5, can be calculated as a standard deviation (Table 2).
Intensity of Exposure
Plotting both the number of tiles (blue dots) and the number of unique program titles (orange dots) reveals a common publishing strategy of displaying the same program title twice or more on the same front page. In the case of BBC iPlayer and DRTV, these duplications are evident throughout the whole sample period, whereas for Tagesschau24 we observe a change in the publishing strategy around August 2023, with a sudden drop in duplications. Figure 6 shows that the front pages of the two German VoD services Funk and HR, as well as the Danish DRTV and BBC iPlayer, have an average duplication rate of more than 10 percent per day. In future research, it may be worth tracking the rates of triple and quadruple program exposures in addition to the duplication rates shown in Figure 6.
The “Hero” Banner
Another indicator is the appearance of programs in the most visible part of the VoD interface, namely, the top row (called the “hero” banner, the “carousel,” or the “stage”) and the three rows below. The actual visibility depends on the user’s screen, but it is safe to assume a higher visibility for these rows. In Figure 7, we calculate the percentage of all unique programs that have been shown in one or more of the top rows, which allows us to assess how many titles are promoted in the hero banner. Here, we see very different uses of the hero banner (the blue column), ranging from very few to quite many titles. We also see differences for all four rows aggregated (the red column). In most VoD services, a relatively large percentage of the front-page titles have had the chance at least for one day to be seen at the top of the page. Considering the VoD services’ very different publishing strategies for the hero banner, the aggregated number for all four top rows is another possible indicator.
Some methodological details are important to note here, beyond the inherent uncertainty regarding the user’s screen size and scrolling habits. First, in datasets with many sampled days, programs may have a bigger chance to be found in the top rows than in a dataset with fewer days. We therefore use datasets with more than 2 years of data to control for this. Second, newer programs may have less opportunity to be shown in the top rows as they have had a shorter life in the catalog. A program’s chances for exposure should thus be calculated in relation to its age. In Figure 7, we present an average over time and herein assume that programs have the same likelihood of being shown in the top rows, regardless of their age. Third, we include all program titles in the top rows regardless of their horizontal position in a row. Assuming that rows can be longer than the width of the user’s screen, some program titles will not be visible despite their top row position. The question of actual visibility to the user is thus more complicated than our plots indicate and would ideally be investigated through more extensive studies using eye-tracking methods, as used in cognitive psychology, human–computer interaction, and marketing.
The VoD Dance: (Re)Appearances of Programs
So far in this article we have considered exposure on VoD services. To better understand the “dance” of individual program titles in the VoD interface, we will now examine patterns in their appearance, disappearance, and reappearance. Appearance is interesting as it reveals the possible attention a program can get when introduced for the first time. Reappearance can be compared to “reruns” in broadcasting, a formerly much discussed quality parameter of public service broadcasting. In VoD services, the number of “reruns”–or “reappearances”–is even more difficult to assess than in linear television; there is no printed schedule to study. We thus aim for characterizing the patterns of appearances, disappearances, and reappearances to characterize the novelty over time of a VoD.
Tables 8–11 plot appearances, disappearances, and reappearances of all program titles across four very different VoD services.18 Each colored line represents a program. To simplify the visualization, we ignore the position of titles in the interface. Immediately we notice patterns in the plots. Each of the four VoD services has a different density in colored lines: Tagesschau24 (Figure 8) has very few programs that reappear, but when introduced programs remain for a relatively long period. This makes sense, as Tagesschau24 is a news-focused VoD. Interestingly, we also see a number of program titles that are visible for a very long period of time, some also reappearing. The old version of iVysilani (Figure 9) has a similar low density but shorter periods of the first appearances of the program, but many reappearances scattered over the timeline. Only a few titles are visible continuously in the entire sampling period. Conversely, DRTV (Figure 10) has a high density with many programs on the front page for a long time. Finally, the VoD Alpha (Figure 11) has been included to illustrate the advantage of the plotting method as the plot shows a peculiar pattern of diagonal series of programs reappearing in a cascading style.*
*The vertical white gaps; these show periods for which data have not been collected.
Furthermore, the plots highlight the growth in the number of new titles for each VoD, effectively showcasing the “productivity” of the VoD services. The rugged diagonal line formed by the appearance of each title shows how rapidly new programs arrive to the VoD interface. For DRTV, we see the growth of new program titles reducing after 2022. A similar pattern is visible for “Alpha.” These fluctuations necessitate further research and could find other explanations, for example, in seasonal changes.
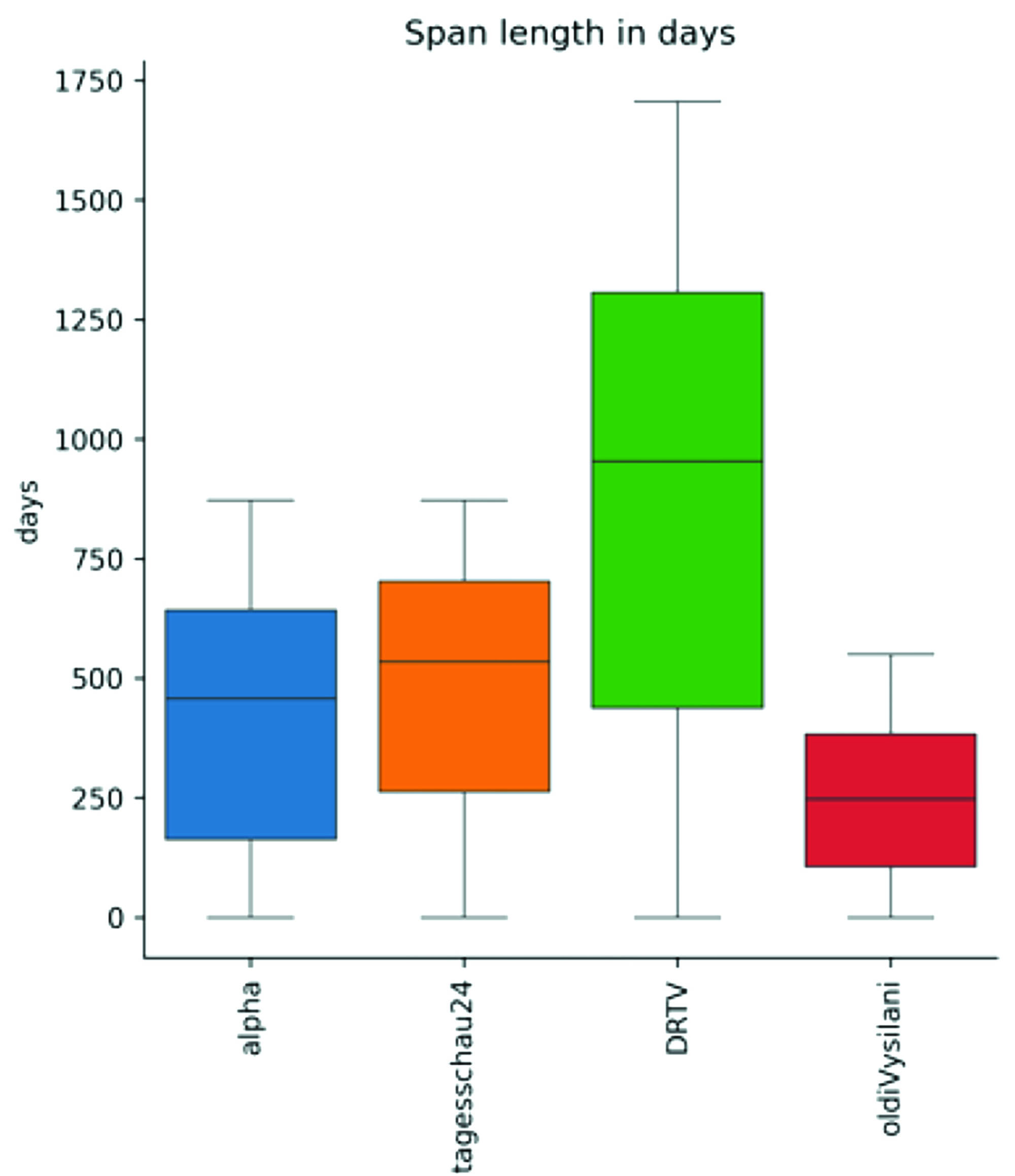
The chronological plotting of program appearances provides a rich picture of publishing strategies. To emphasize patterns of availability (the time span from first appearance to final disappearance), the number of reappearances, and other aspects, we present in Figures 12–15 boxplots summarizing the above plots. In Figure 12, we see that programs at DRTV are–from their first to the last appearance–shown on the front page for a much longer time span than for the other VoD services. A large time span will eventually also imply that the programs offered are typically older, than in a case of a short time span.
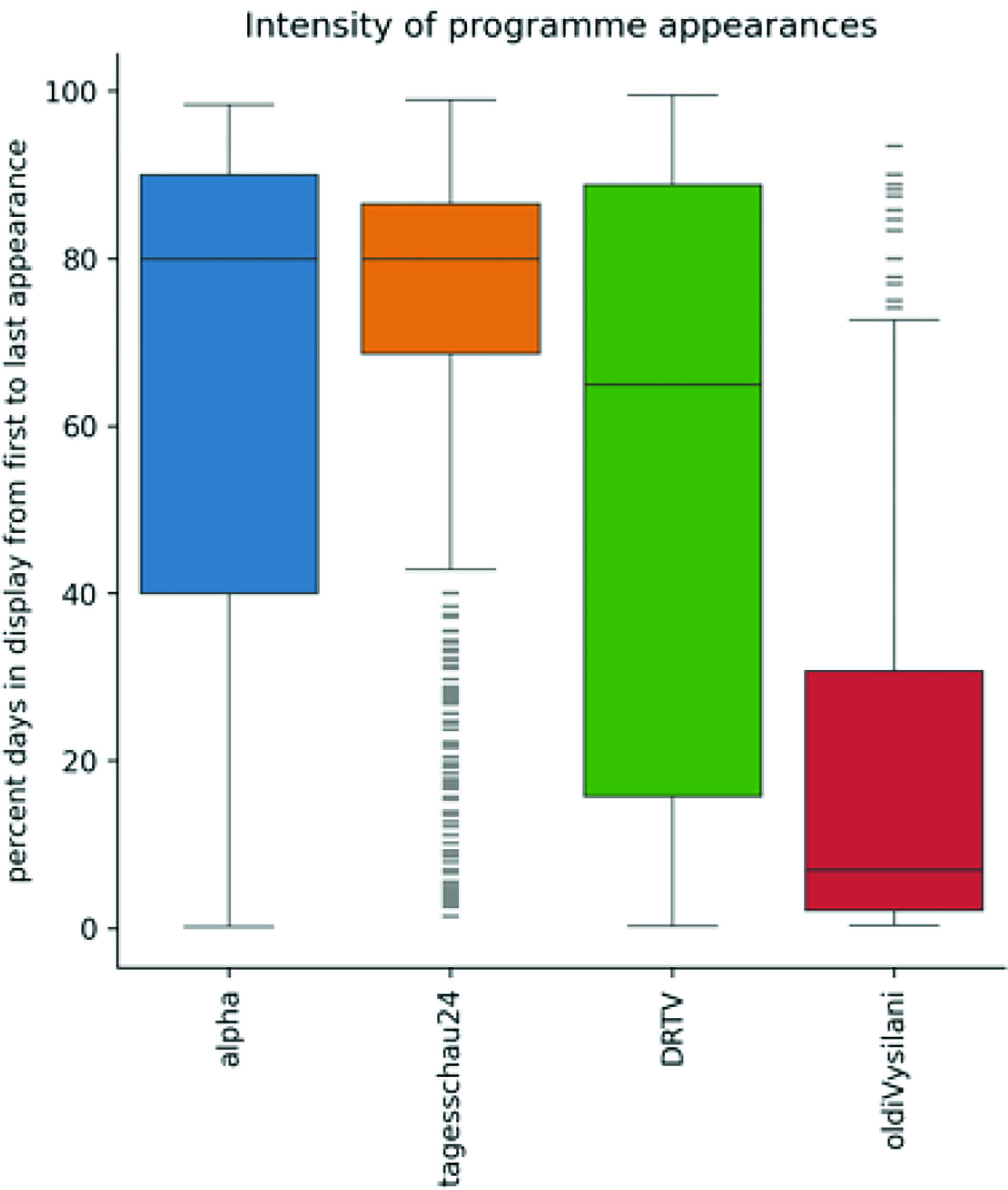
In Figure 13, we plot the number of reappearances for programs; this quantifies the observation of iVysilani but shows also that DRTV’s programs remain on the front page for relatively long periods, as DRTV’s number of reappearances is low. The average number of reappearances is our indicator number 6. The reappearance observation is also reflected in Figure 14, which shows the calculated intensity of the program appearance: The number of appearance days divided by the length of the time span from the first to the last appearance. Here, iVysilani stands out with a low intensity.
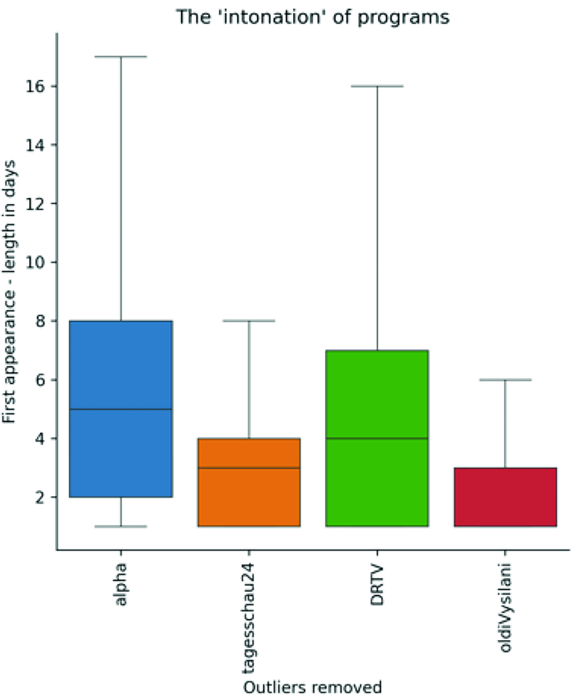
Finally, in Figure 15, we plot the length in days of a program’s first appearance, what we term “the intonation.” We assume here that a longer first appearance attracts more user attention to the program title. As the figure makes apparent, the German VoD Alpha has the longest exposure, followed by DRTV, whereas iVysilani (the old version) only shows a title for a short time. The intonation, the time span, the number of reappearances, and the intensity of the reappearances help characterize a user’s possible experience of the VoD front page over time.
The Level of Novelty Over Time
Publishing strategies can also be evaluated by counting how many unique programs featured on the front page over a period of 7 days, 14 days, or a month. In Figure 16, we see again that the old version of iVysilani is a high outlier, meaning that users of that VoD are more likely to find new-to-iVysilani titles on the front page. Conversely, DRTV does not offer much new content.
Artificial newness
When program titles are moved around on the VoD front page, for example, by shifting position in a row, or being placed in another row or shown in another deck, users might get an impression of change even though the programs are not new. Figures 17 and 18 show the level of moved programs, providing an indicator for what we will call “artificial newness.” This allows us to see which VoD services may be moving titles around the front page to give the appearance of new content arriving onto the services.
Applying the Indicators
The data experiments discussed above all offer different perspectives on the “invisible dances” of programs in PSM VoD services. They reveal VoD publishing strategies that would remain invisible for a “normal” user but which may nonetheless shape that user’s viewing by making certain content more or less visible than other content.
Summarizing and interpreting the patterns and characteristics of the plots, we arrive at the following seven tentative indicators (Table 3).
Overview of Indicators.
Indicator No. |
Name |
Description |
|---|---|---|
1 |
Number of tiles per day |
Size of VoD front-page offer |
2 |
Double program exposure |
Percentage of titles appearing in the VoD interface twice the same day |
3 |
Top-row exposure |
Percentage of all unique front-page programs shown in the four top rows |
4 |
Span in days |
Average time span from the first to the last appearance of a program–the age of the programming |
5 |
Average reappearance intensity |
Number of display days divided by the length for the time span |
6 |
Uniqueness of the VoD program offer over time |
Measured over 7 days |
7 |
Program movements–“Artificial newness” |
Combines averages from programs moved within the deck and between decks |
These indicators serve to initiate a discussion on VoD publishing praxis. There are many unanswered questions that need to be addressed before these indicators–or an updated list of them–can be released for public service VoD management, curation, and auditing. For instance, we can ask the following questions: (1) Which indicators are redundant, in the sense that they represent the same characteristics of the VoD services although different parameters are depicted? This would not only inform us about the uniqueness of each indicator but also provide insights into correlations in VoD publishing praxis. (2) What are the managerial and regulatory consequences of applying the different indicators? How do the indicators articulate or operationalize (public service) regulation and principles? Will the indicators transform the way public service is being held accountable? (3) What are the possible sources of errors and biases for each indicator? (4) What is the potential and what are the consequences for public service VoD services of these indicators, if used as benchmarks by management? Will the publishing editors try to “game” the indicators to make the VoD perform well–as measured?
In Figure 19, we apply the seven indicators to the twenty PSM VoD services included in our dataset.
The spider plot draws our attention to the differences between the VoD services when measured using the seven indicators, but the visual complexity makes it difficult to identify similarities among the VoD services.19 The extent to which the VoD services, analyzed through the lens of the seven indicators, are similar or different can be effectively visualized using a heatmap (see Figure 20). In the heatmap, we find that the highest similarity among VoD services with values near 1 is represented in dark blue. The yellow and light green intersections with minus values represent VoD services that are each other’s opposites in the lens of the seven indicators. We observe that many VoD services in the ARD Mediathek have a high mutual similarity, but when compared to the non-German VoD services they are (with exceptions) quite different. When we compare the non-German VoD services with each other, we find several oppositions. NPO, DRTV, and BBC iPlayer have neither a strong positive or negative correlation; this calls for the application of other indicators to describe differences in greater detail. Also surprising is the positive correlation among BBC iPlayer, “old” iVysilani, and “new” iVysilani, even though their interfaces are very different.
Discussion and Conclusion
The aim of this article has been to produce a methodology for longitudinal descriptions of VoD services resulting in a number of indicators. It has introduced different methods for evaluating publication strategies on VoD services. It is still in an early stage as only program titles are considered, as parameters applied to calculate the plots are preliminary and not validated, and as the seven suggested indicators only demonstrate the possibility of summarizing VoD characteristics but in no way claim to be an authoritative way of describing the VoD services. Finally, data collection, selection of VoD services and pages to document, and the data cleaning process can be contested.
As research in an early stage, it deserves to be challenged. A way of challenging the descriptive power of parameters and indicators could be to compare the findings with other quantitative descriptions of the VoD services; qualitative close readings and walkthroughs of the interfaces and publishing practices20; and also with strategy and policy documents. An open question is: Will the indicators also be productive when evaluating different types of commercial VoD services, or only for comparisons among public service VoD services?
Our research has produced a number of methodological questions regarding the sample span and choice of data: How long should a time span be covered before the measurement will have a descriptive power? What justifies the selection of a certain time span? Is more or newer data better? Should we try to understand the reasons for the fluctuations before we choose the time span to be analyzed, or should we identify it in the data? These methodological questions are of relevance not only to data analysts but also to a larger audience of VoD researchers, media scholars, TV professionals, and regulators. This article is meant to be a contribution to the development of a methodology of VoD measurement by pointing out both the perspectives and challenges in measuring and visualizing longitudinal VoD data, and hopefully, it has touched on how further research in particular areas is needed to push the field of VoD analysis further.
Notes
- Jannick Kirk Sørensen is Associate Professor in Digital Media at Dept. of Electronic Systems, Aalborg University, Denmark. Since 2007 has he researched the implications of and possibilities in the digital transformation of public service media with a particular focus on algorithmic content recommendation and curation. Besides this research interest is he a workpage leader in the EU-Horizon Europe project on fairness and diversity in the music streaming business. From 2026 he will be a work package leader in the MSCA doctoral network “RePIM” – Re-envisioning Public Interest Media. He teaches computer engineering at BSc and MSc levels at Aalborg University, campus Copenhagen. ⮭
- Ramon Lobato, Scarlata Alexa, and Tyson Wils. “Video-on-Demand Catalog and Interface Analysis: The State of Research Methods,” Convergence: The International Journal of Research into New Media Technologies 30, no. 4 (August 2024): 1331–47. https://doi.org/10.1177/13548565241261992; David Hesmondhalgh, and Amanda Lotz. “Video Screen Interfaces as New Sites of Media Circulation Power,” International Journal of Communication 14 (2020): 386–409. ⮭
- Mel Stanfill. “The Interface as Discourse: The Production of Norms through Web Design,” New Media & Society 17, no. 7 (2015): 1059–74. https://doi.org/10.1177/1461444814520873. ⮭
- Xavier Amatriain and Justin Basilico, “Recommender Systems in Industry: A Netflix Case Study.” In Recommender Systems Handbook, edited by Francesco Ricci, Lior Rokach, and Bracha Shapira, 385–419. Springer US, 2015. https://doi.org/10.1007/978-1-4899-7637-6_11. ⮭
- García Leiva, ‘VoD Platforms and Prominence’; Johnson, Hills, and Dempsey, ‘An Audience Studies’ Contribution to the Discoverability and Prominence Debate’; Mazzoli, ‘Online Content Governance’. ⮭
- Lassen and Sørensen, ‘Values in and Values of Video on Demand Services: The Case of Danish DRTV’. ⮭
- Cathrin Bengesser and Jannick Kirk Sørensen, “Different Diversities: Policies and Practices at Three European Public Service VoD Services,” Convergence: The International Journal of Research into New Media Technologies 30, no. 4 (12 August 2024): 13548565241270897. https://doi.org/10.1177/13548565241270897; Julie Münter Lassen and Jannick Kirk Sørensen, “Curation of a Personalized Video on Demand Service: A Longitudinal Study of the Danish Public Service Broadcaster DR,” Iluminace: Journal for Film Theory, History, and Aesthetics 33, no. 1 (2021). https://www.iluminace.cz/artkey/ilu-202101-0001_curation-of-a-personalized-video-on-demand-service-a-longitudinal-study-of-the-danish-public-service-broadcast.php. ⮭
- John P. Kelly and Jannick Kirk Sørensen, “ ‘What’s on the Interface Tonight?’: A Longitudinal Analysis of the Publishing Strategies of Public Service Video-On-.” MedieKultur 37, no. 70 (2021): 66–90. https://tidsskrift.dk/mediekultur/article/view/122386/173777. ⮭
- Moretti, Franco. Distant Reading (Verso Books, 2013). ⮭
- Tukey, John W. Exploratory Data Analysis (Reading, 1977). ⮭
- Seaborn: https://seaborn.pydata.org, accessed December 7, 2024. PyPlot: https://matplotlib.org/stable/tutorials/pyplot.html, accessed December 16, 2024. ⮭
- Different technical aspects may influence the data retrieved from a webpage, for example, type of device/interface, time, location/geography for the retrieval, and personalization/algorithmic recommender systems used on the page. In this article, we do not consider these or other variables as it would generate an overwhelming analytical complexity. ⮭
- Kulturministeriet, DR’s PUBLIC SERVICE-KONTRAKT FOR 2022–2025. ⮭
- Lukáš Slavík and Klára Smejkal, “Negotiating Organizational Cultures: The Evolution of the VOD Platform Implementation in Czech Public Service Television,” Iluminace 36, no. 1 (17 June 2024): 5–28. https://doi.org/10.58193/ilu.1775.. ⮭
- The documentation of DRTV started on November 12, 2019, but for all other VoDs except “oldiVysilani,” the documentation started in late February 2022. The former version of the Czech TV “iVysilani,” here called “oldiVysilani,” was documented from June 2020 until December 3, 2021, where it was replaced with a new service with a new design and curation policy, in the following referred to as “newiVysilani” (documented from December 6, 2021). As of December 2024, documentation continues, but the datasets used for this article terminate mid-July 2024. ⮭
- “Prophet” Python library developed by researchers from Meta: https://facebook.github.io/prophet/, accessed November 2024). ⮭
- A boxplot represents the distribution of measured values: The middle line in the box represents the median–the middle value of the dataset. The lower edge of the box–the lower or first quartile–represents the median of the lower half of the dataset, and the upper edge of the box–the upper or third quartile–represents the median of the upper half of the dataset. The two ends of the line represent, respectively, the lowest and the highest value. The marks above and/or under some boxes represent “outliers”–measurements that statistically fall outside expectations. ⮭
- In this plot, we do not consider where on the front page the program was shown. As programs often are being repositioned on a VoD front page, another type of visualization would be required to illustrate this. In a later publication, we will analyze the movements of program and deck titles over time. ⮭
- The “spider plot” helps visually assess the correlation of the indicators: If two lines–two indicators–would follow each other or even overlap around the circle, they would correlate and thus not report on different aspects of the VoDs. The lines are results of a normalization of the measured values for each VoD; the normalization enables the comparison of values at very different scales. For the normalization, we let “1” represent the highest measured value, and all other values calculated as a ratio of 1 for each indicator. We see that the lines have different shapes, testifying the indicators as being capable of describing different aspects of the VoDs. ⮭
- Hanne Bruun, Re-Scheduling Television in the Digital Era. 1st ed. Routledge Focus on Television Studies (Routledge, 2020), https://doi.org/10.4324/9780429276309; Hanne Bruun and Julie Münter Lassen, “New Scheduling Strategies and Production Culture in Public Service Television in the Digital Era: The Case of DR and TV 2 in Denmark,” Critical Studies in Television: The International Journal of Television Studies (August 18, 2023): 17496020231196422, https://doi.org/10.1177/17496020231196422 ⮭
Bibliography
Amatriain, Xavier, and Justin Basilico. “Recommender Systems in Industry: A Netflix Case Study.” In Recommender Systems Handbook, edited by Francesco Ricci, Lior Rokach, and Bracha Shapira, 385–419. Springer US, 2015. https://doi.org/10.1007/978-1-4899-7637-6_11.https://doi.org/10.1007/978-1-4899-7637-6_11
Bengesser, Cathrin, and Jannick Kirk Sørensen. “Different Diversities: Policies and Practices at Three European Public Service VoD Services.” Convergence: The International Journal of Research into New Media Technologies 30, no. 4 (12 August 2024): 13548565241270897. https://doi.org/10.1177/13548565241270897.https://doi.org/10.1177/13548565241270897
Bruun, Hanne. Re-Scheduling Television in the Digital Era. 1st ed. Routledge Focus on Television Studies. Routledge, 2020. https://doi.org/10.4324/9780429276309.https://doi.org/10.4324/9780429276309
Bruun, Hanne, and Julie Münter Lassen. “New Scheduling Strategies and Production Culture in Public Service Television in the Digital Era: The Case of DR and TV 2 in Denmark.” Critical Studies in Television: The International Journal of Television Studies, August 18, 2023, 17496020231196422. https://doi.org/10.1177/17496020231196422.https://doi.org/10.1177/17496020231196422
DR. “DR’s Public Service Redegørelse 2023.” Copenhagen: DR, 12 April 2024. https://www.dr.dk/om-dr/fakta-om-dr/public-service-redegoerelser.https://www.dr.dk/om-dr/fakta-om-dr/public-service-redegoerelser
EU Commission. Communication from the Commission on the application of State aid rules to public service broadcasting, 2009/C 257/01 § (2009). https://eur-lex.europa.eu/legal-content/EN/TXT/?uri=oj:JOC_2009_257_R_0001_01.https://eur-lex.europa.eu/legal-content/EN/TXT/?uri=oj:JOC_2009_257_R_0001_01
García Leiva, Ma Trinidad. “VoD Platforms and Prominence: A European Regulatory Approach.” Media International Australia 180, no. 1 (August 2021): 101–15. https://doi.org/10.1177/1329878X20967456.https://doi.org/10.1177/1329878X20967456
Granka, Laura, Matthew Feusner, and Lori Lorigo. “Eye Monitoring in Online Search.” In Passive Eye Monitoring: Algorithms, Applications and Experiments, edited by Riad I. Hammoud, 347–72. Springer Berlin Heidelberg, 2008. https://doi.org/10.1007/978-3-540-75412-1_16.https://doi.org/10.1007/978-3-540-75412-1_16
Hesmondhalgh, David, and Amanda Lotz. “Video Screen Interfaces as New Sites of Media Circulation Power.” International Journal of Communication 14 (2020): 386–409.
Hinckley, Ken, Edward Cutrell, Steve Bathiche, and Tim Muss. “Quantitative Analysis of Scrolling Techniques.” In Proceedings of the SIGCHI Conference on Human Factors in Computing Systems, 65–72. ACM, 2002. https://doi.org/10.1145/503376.503389.https://doi.org/10.1145/503376.503389
Jakubowicz, Karol. “Bringing Public Service to Account.” In Broadcasting & Convergence: New Articulations of the Public Service Remit, edited by Gregory Ferrell Lowe and Taisto Hujanen, 147–65. Nordicom, 2003.
Jauert, Per, and Gregory Ferrell Lowe. “Public Service Broadcasting for Social and Cultural Citizenship. Renewing the Enlightenment Mission.” In Cultural Dilemmas in Public Service Broadcasting : RIPE@2005, edited by Per Jauert and Gregory Ferrell Lowe, 13–33. Nordicom, 2005.
Johnson, Catherine, Matt Hills, and Laurie Dempsey. “An Audience Studies’ Contribution to the Discoverability and Prominence Debate: Seeking UK TV Audiences’ ‘Routes to Content’.” Convergence: The International Journal of Research into New Media Technologies 30, no. 5 (October 2024): 1625–45. https://doi.org/10.1177/13548565231222605.https://doi.org/10.1177/13548565231222605
Kelly, John P., and Jannick Kirk Sørensen. “‘What’s on the Interface Tonight?’: A Longitudinal Analysis of the Publishing Strategies of Public Service Video-On-.” MedieKultur 37, no. 70 (2021): 66–90. https://tidsskrift.dk/mediekultur/article/view/122386/173777.https://tidsskrift.dk/mediekultur/article/view/122386/173777
Kulturministeriet. DR’s PUBLIC SERVICE-KONTRAKT FOR 2022–2025 (2022). https://kum.dk/fileadmin/_kum/1_Nyheder_og_presse/2022/Public_service-kontrakt_for_DR_endelig.pdf.https://kum.dk/fileadmin/_kum/1_Nyheder_og_presse/2022/Public_service-kontrakt_for_DR_endelig.pdf
Lassen, Julie Mejse Münter, and Jannick Kirk Sørensen. “Values in and Values of Video on Demand Services: The Case of Danish DRTV.” In RIPE@2021: “Public Service Media’s Contribution to Society”. Nordicom, 2023. https://urn.kb.se/resolve?urn=urn:nbn:se:norden:org:diva-12861.https://urn.kb.se/resolve?urn=urn:nbn:se:norden:org:diva-12861
Lassen, Julie Münter. “Multichannel Strategy, Universalism, and the Challenge of Audience Fragmentation.” In Universalism in Public Service Media, edited by Mercedes Medina, Philip Savage, and Gregory Ferrell Lowe. RIPE. Nordicom, Göteborg Universitet, 2020. http://norden.diva-portal.org/smash/record.jsf?pid=diva2%3A1535631&dswid=5988.http://norden.diva-portal.org/smash/record.jsf?pid=diva2%3A1535631&dswid=5988
Lassen, Julie Münter. “The Reappropriation of Time in Television: How Traditional Qualities of Broadcast Media Are Being Adopted by Their Video-on-Demand Services.” Nordicom Review 44, no. 2 (1 June 2023): 217–34. https://doi.org/10.2478/nor-2023-0012.https://doi.org/10.2478/nor-2023-0012
Lassen, Julie Münter, and Jannick Kirk Sørensen. “Curation of a Personalized Video on Demand Service: A Longitudinal Study of the Danish Public Service Broadcaster DR.” Iluminace: Journal for Film Theory, History, and Aesthetics 33, no. 1 (2021). https://www.iluminace.cz/artkey/ilu-202101-0001_curation-of-a-personalized-video-on-demand-service-a-longitudinal-study-of-the-danish-public-service-broadcast.php.https://www.iluminace.cz/artkey/ilu-202101-0001_curation-of-a-personalized-video-on-demand-service-a-longitudinal-study-of-the-danish-public-service-broadcast.php
Lobato, Ramon, Alexa Scarlata, and Tyson Wils. “Video-on-Demand Catalog and Interface Analysis: The State of Research Methods.” Convergence: The International Journal of Research into New Media Technologies 30, no. 4 (August 2024): 1331–47. https://doi.org/10.1177/13548565241261992.https://doi.org/10.1177/13548565241261992
Mazzoli, Eleonora Maria. “Online Content Governance: Towards a Framework for Analysis for Prominence and Discoverability.” Journal of Digital Media & Policy 11, no. 3 (1 November 2020): 301–19. https://doi.org/10.1386/jdmp_00027_1.https://doi.org/10.1386/jdmp_00027_1
Moretti, Franco. Distant Reading. Verso Books, 2013.
Nissen, Christian S. “No Public Service without Both Public and Service – Content Provision between the Scylla of Populism and the Charybdis of Elitism.” In Making a Difference: Public Service Broadcasting in the European Media Landscape, edited by Christian S. Nissen, 65–82. John Libbey Publishing, 2006.
Rozgonyi, Krisztina. “Accountability and Platforms’ Governance: The Case of Online Prominence of Public Service Media Content.” Internet Policy Review 12, no. 4 (26 October 2023). https://doi.org/10.14763/2023.4.1723.https://doi.org/10.14763/2023.4.1723
Slavík, Lukáš, and Klára Smejkal. “Negotiating Organizational Cultures The Evolution of the VOD Platform Implementation in Czech Public Service Television.” Iluminace 36, no. 1 (17 June 2024): 5–28. https://doi.org/10.58193/ilu.1775.https://doi.org/10.58193/ilu.1775
Sørensen, Jannick Kirk. “Personalised Universalism in the Age of Algorithms.” In Universalism in Public Service Media: RIPE@2019, 191–205. NORDICOM, 2020. https://www.nordicom.gu.se/sv/publikationer/universalism-public-service-media.https://www.nordicom.gu.se/sv/publikationer/universalism-public-service-media
Stanfill, Mel. “The Interface as Discourse: The Production of Norms through Web Design.” New Media & Society 17, no. 7 (2015): 1059–74. https://doi.org/10.1177/1461444814520873.https://doi.org/10.1177/1461444814520873
Tukey, John W. Exploratory Data Analysis. Reading, 1977.
UNESCO. “Public Broadcasting Why? How?” Paris: UNESCO, 2001. http://unesdoc.unesco.org/images/0012/001240/124058eo.pdf.http://unesdoc.unesco.org/images/0012/001240/124058eo.pdf
Van den Bulck, Hilde, and Hallvard Moe. “Public Service Media, Universality and Personalisation through Algorithms: Mapping Strategies and Exploring Dilemmas.” Media, Culture & Society 40, no. 6 (September 2018): 875–92. https://doi.org/10.1177/0163443717734407.https://doi.org/10.1177/0163443717734407
Zhao, Qian, Shuo Chang, F. Maxwell Harper, and Joseph A. Konstan. “Gaze Prediction for Recommender Systems.” In Proceedings of the 10th ACM Conference on Recommender Systems, 131–38. ACM, 2016. https://doi.org/10.1145/2959100.2959150.https://doi.org/10.1145/2959100.2959150




















