Introduction
Lung cancer is the second most commonly diagnosed cancer and accounts for more deaths than any other cancer.1 Lung cancers are classified as small cell (SCLC) or non-small cell (NSCLC). SCLC accounts for 15% of bronchogenic cancers2 and is found nearly exclusively in smokers and those exposed to second-hand smoke.3 SCLC is more responsive to chemotherapy and radiation therapy than other lung cancers, but it tends to be diagnosed at a later stage, making cures difficult.4
A challenge in improving SCLC outcomes is addressing health inequities. Previous literature using data from the National Cancer Data Base (NCDB) identified disparities in SCLC mortality following the passage of the Affordable Care Act (ACA) based on sex, race/ethnicity, socioeconomic status, and payer status.5 In another study among patients with stage I, II, or III SCLC, factors associated with better survival included female sex, higher income, better education, private insurance, and earlier stage at diagnosis.6
Payer status affects survival in NSCLC7 and other cancers. Specifically, privately insured patients with breast and colorectal cancers were more likely to be diagnosed at an earlier stage9,13,14 and had greater overall survival compared to uninsured, Medicare, and Medicaid patients.7,8,9,10,11 Cancer patient outcomes also involve socioeconomic status, distance travelled to receive care, and number of comorbidities. Patients of lower socioeconomic status,12,13,14 traveling longer distances,15,16 and presenting with more comorbidities17,18,19 have worse survival. In this study, we investigated disparities, with a primary focus on payer status, on the survival of patients with late-stage (AJCC Stage III and IV) small-cell lung cancer.
Methods
We evaluated a cohort of 71,724 SCLC patients with stage III or IV disease who had not undergone surgery or hormonal therapy registered in the NCDB. Stage III and IV patients were included as this is the stage where most patients are diagnosed.20 The NCDB is a hospital-based cancer registry that is jointly maintained by the American Cancer Society and the American College of Surgeons, capturing approximately 70% of all newly diagnosed cases of cancer in the United States.21
Patients ages 18–64 years diagnosed with SCLC from 1998–2011 and followed to the end of 2012 were included in the analysis. Age was divided into two sub-categories, 18–55 and 56–64, with the data evenly distributed within these ranges. Race/ethnicity was divided into White, Black, and Asian based on original coding.5,6 Payer status was categorized as uninsured, private, Medicaid, or Medicare. Income, or median household income at zip-code level, was grouped as <$36k or ≥$36k per year. The percentage of adults in the patient’s zip code who did not graduate from high school as a measure of education was grouped as ≥20% and <20%. Distance traveled was defined as the distance from the patient’s residential zip code to a medical center and was grouped as <30 and ≥30 miles.5,6 Income, education, and distance traveled were determined using 2000 census data.21 The Charlson Comorbidity Index was defined as 0, 1, ≥2, or unknown.22 Facilities were classified as community facilities, comprehensive community cancer programs, or academic/research programs.5,6
For simplicity, we combined patients receiving single and multiple-agent chemotherapy agents into one group, ‘chemotherapy,’ and patients receiving any form of radiation into ‘radiation therapy.’
Table I displays the distribution of patients according to the study’s variables, which were part of the original NCDB dataset and used to assist in logit modeling. Chi-squared analysis (data not shown within manuscript) demonstrated statistically significant associations with insurance status (p<.000001).5,6,21
Table I. Patient Characteristics
| Factor | n | Percent | |
| Sex | Male | 37165 | 51.82 |
| Female | 34559 | 48.18 | |
| Age | 18–55 | 27757 | 38.7 |
| 56–64 | 43967 | 61.3 | |
| Race | White | 64778 | 90.32 |
| Black | 6174 | 8.61 | |
| Asian | 772 | 1.08 | |
| Comorbidity | 0 | 30221 | 42.14 |
| 1 | 13028 | 18.16 | |
| 2 | 4886 | 6.81 | |
| Unknown | 23589 | 32.89 | |
| Insurance | Uninsured | 6914 | 9.64 |
| Private | 41547 | 57.93 | |
| Medicaid | 10534 | 14.69 | |
| Medicare | 12729 | 17.75 | |
| Income | <36-k | 27412 | 40.16 |
| >36k | 40841 | 59.84 | |
| Education | <20% | 34070 | 49.92 |
| >20% | 34176 | 50.08 | |
| Distance | <30 Miles | 56726 | 81.8 |
| Travelled | 30+ Miles | 12617 | 18.2 |
| Facility Type | Community Cancer Program | 10828 | 15.1 |
| Comprehensive Community Cancer Program | 41449 | 57.79 | |
| Academic/Research Program | 19447 | 27.11 | |
| Class of Case | Same Facility | 51387 | 71.65 |
| Different Facility | 20337 | 28.35 | |
| AJCC Stage | Stage III | 23497 | 32.76 |
| Stage IV | 48227 | 67.24 | |
| Radiation | No | 31118 | 43.59 |
| Yes | 40274 | 56.41 | |
| Chemotherapy | No | 9006 | 13.14 |
| Yes | 59541 | 86.86 |
Kaplan–Meier methods were used to estimate survival curves. Log-rank tests were used to compare the survival distributions in univariate analysis, and the Šidák correction method was used for adjustment in multiple comparisons for the log-rank test where appropriate. Multivariate Cox regression was used to simultaneously estimate the hazard of death (hazard ratio) of payer status while adjusting for other factors (Table IV) and to calculate the direct adjusted median overall survival. All data management, statistical analyses, and modeling was completed using Statistical Software SAS 9.4 (SAS Inc. Gary, NC, USA). All p-values of less than 0.05 were considered statistically significant.
Results
Univariate analyses (Table II) present the unadjusted median overall survival (MOS) according to payer status. MOS for the entire cohort was 9.72 months. Privately insured patients, which had a MOS of 10.71 months, demonstrated the longest median overall survival, followed by Medicaid, Medicare, and uninsured patients. MOS stratified by insurance status significantly differed in all groups (p<.0001) except between Medicaid and uninsured patients.
Table II. Unadjusted and Adjusted Median Overall Survival (months) by Payer Status and Treatment
| Unadjusted | Adjusted MOS | ||||
| Level | MOS | Lower | Upper | ||
| All | 9.72 | 9.66 | 9.79 | 9.72 | |
| Payer Status | Private | 10.71 | 10.61 | 10.81 | 10.32 |
| Medicare | 8.25 | 8.08 | 8.44 | 9.00 | |
| Medicaid | 8.67 | 8.48 | 8.84 | 9.00 | |
| Uninsured | 8.02 | 7.79 | 8.25 | 8.97 | |
| Treatment | No treatment | 1.51 | 1.41 | 1.61 | 5.72 |
| Radiation only | 3.12 | 2.89 | 3.38 | 6.77 | |
| Chemotherapy only | 8.77 | 8.67 | 8.87 | 9.3 | |
| Radiation + Chemotherapy | 12.52 | 12.39 | 12.62 | 11.17 | |
Table II also presents MOS in months according to treatment (p<.0001). The unadjusted MOS was greatest in patients receiving a combination of radiation therapy and chemotherapy (12.52 months), followed by patients receiving chemotherapy only, radiation only, and no treatment.
Table III presents the univariate analysis of direct adjusted survival at 6, 12, and 24 months of patients by payer status and treatment (p<.0001).
Table III. Direct Adjusted Survival at 6, 12, and 24 Months after Diagnosis
| Percent surviving | ||||
| Level | 6 months | 12 months | 24 months | |
| Payer Status | Private | 71.96% | 42.52% | 17.69% |
| Medicare | 66.71% | 35.46% | 12.68% | |
| Medicaid | 66.76% | 35.52% | 12.72% | |
| Uninsured | 66.56% | 35.27% | 12.55% | |
| Treatment | No treatment | 48.09% | 15.14% | 2.41% |
| Radiation only | 54.70% | 20.61% | 4.18% | |
| Chemotherapy only | 68.81% | 36.54% | 12.11% | |
| Radiation + Chemotherapy | 75.53% | 46.55% | 19.46% | |
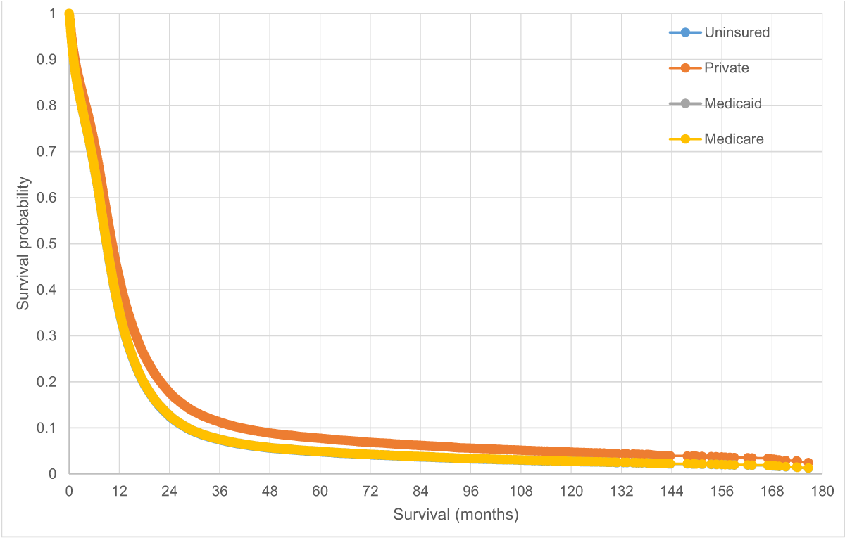
Privately insured patients had greater survival than Medicare, Medicaid, and uninsured patients at 6, 12, and 24 months. Among treatment groups, a greater proportion of patients receiving both radiation and chemotherapy were surviving at 6, 12, and 24 months compared to the other treatment groups. Figures I and II present the direct adjusted survival in months according to payer status and treatment regimen throughout the study (p<.0001).
Multivariate Cox regression analysis (Table IV) revealed that demographic, socioeconomic, and cancer stage factors were statistically significant predictors of survival for SCLC, presented as Hazard ratios (HR). There was a statistically significant relationship between payer status and overall survival when controlling for the other variables. Compared to privately insured patients, Medicaid patients had an increased risk of dying of 24%, while Medicare and uninsured patients both had an increased risk of dying of 25%.
Table IV. Hazard Ratio of Death in Multivariate Cox Regression
| Factor | Level | HR | Lower | Upper |
| Sex | Male | 1 | ||
| Female | 0.82 | 0.81 | 0.84 | |
| Age | 18–55 | 1 | ||
| 56–64 | 1.10 | 1.08 | 1.12 | |
| Race | White | 1 | ||
| Black | 0.95 | 0.92 | 0.98 | |
| Asian | 0.82 | 0.76 | 0.89 | |
| Comorbidity | 0 | 1 | ||
| 1 | 1.14 | 1.11 | 1.16 | |
| 2 | 1.38 | 1.33 | 1.42 | |
| Unknown | 1.12 | 1.10 | 1.14 | |
| Insurance | Private | 1 | ||
| Uninsured | 1.25 | 1.22 | 1.29 | |
| Medicaid | 1.24 | 1.21 | 1.27 | |
| Medicare | 1.25 | 1.22 | 1.27 | |
| Income | <36k | 1 | ||
| >36k | 0.97 | 0.96 | 0.99 | |
| Education | <20% | 1 | ||
| >20% | 0.98 | 0.96 | 1.00 | |
| Distance Travelled | <30 miles | 1 | ||
| 30+ miles | 0.98 | 0.96 | 1.00 | |
| Facility Type | Academic/Research Program | 1 | ||
| Community Cancer Program (CCP) | 1.07 | 1.04 | 1.09 | |
| Comprehensive CCP | 1.03 | 1.01 | 1.05 | |
| Class of Case | Same Facility | 1 | ||
| Different Facility | 0.90 | 0.89 | 0.92 | |
| AJCC stage | Stage III | 1 | ||
| Stage IV | 2.02 | 1.99 | 2.06 |
Many of the variables presented in Table I, except for education level and distance traveled, were also found to be statistically significant predictors of survival. Male patients, older patients aged 56–64 years, patients treated in non-academic facilities, and patients living in zip codes where most residents earn a median yearly income of less than $36,000 were found to have an increased risk of death. Compared to White patients, Asian patients had an 18% (HR=0.82) and Black patients had a 5% (H=0.95) reduced risk of death.
Discussion
In this study, we demonstrated that payer status is a significant predictor of overall survival in SCLC after adjusting for several factors in multivariate analysis. In exploring further (data not shown), we found that treatment, AJCC stage, and the number of comorbidities differed by payer status, offering possible explanations for the results. Cancer stage differed among payer-status groups, with a greater percentage of uninsured and Medicaid patients presenting with stage IV cancer. Privately insured patients also presented with a significantly higher percentage of 0 comorbidities (67.3%), suggesting that privately insured patients tended to be healthier compared to Medicare, Medicaid, and uninsured patients (p<.000001).
Previous studies in other types of cancer corroborated this study’s finding that payer status affects survival.5,7,9,10,11,23,24 Privately insured patients are more likely to be diagnosed at an earlier stage,25,26,27 have fewer comorbidities,24,28 and receive the appropriate treatment29,30,31 in comparison to Medicare, Medicaid, and uninsured patients. Additional factors, such as limited access to clinical trials, lower reimbursement rates, higher out-of-pocket drug expenses, and processing delays,5 could also be contributing to poorer survival outcomes in patients with non-private insurance.
Pezzi et al. similarly found, using an NCDB cohort of patients with either limited or extensive-stage SCLC from 2004 to 2013, that Medicaid insurance was not associated with improved survival compared with those who were uninsured. They found that patients with private insurance had greater median overall survival compared to all other payers. In contrast to this study, Pezzi et al. found that patients with Medicare had improved survival compared to Medicaid and uninsured patients. Additional differences between our study and the Pezzi et al. study include methodological and statistical differences, such as their inclusion of both early and late stage SCLC patients, different dates of data selection, and use of propensity matching.5 This study further verifies the results from the Pezzi et al. study in that it presents a similar finding despite these differences.
There are several limitations of this study. Though the large sample size allowed for accurate hazard ratio estimation, over 1,500 institutions participated in NCDB data collection, which may have introduced data variability or patient selection bias. Additionally, because the NCDB does not collect smoking history data, we do not know whether differences in survival outcomes are a result of differential smoking behaviors. Education and income were determined based on zip code, which may not be the most accurate measurement. Lead time bias may have been a confounding factor as to why privately insured patients experienced longer survival. The study period overlaps with some Affordable Care Act changes such as Medicaid expansion, which likely impacted the patient demographics within the ‘Medicaid’ group.5,32 Additionally, the Charlson Comorbidity Index was not available until 2003. To estimate missing Charlson comorbidity data, we used the zero comorbidity of the 2003 or later cohort as a reference. Finally, our findings did not consider treatment specifics such as dosage, drug type, or duration, and the results can only be generalized to patients under age 65 with stage III/IV SCLC.
Conclusion
Insurance status was a statistically significant predictor of median overall survival in stage III/IV SCLC, indicating the disparity in outcomes based on insurance status that existed before the ACA has continued to persist5. Privately insured patients demonstrated the longest adjusted mean overall survival (10.32 months), living 1.3 months longer than Medicaid (MOS=9 months), Medicare (MOS=9 months), and uninsured patients (MOS=8.97 months). Patients receiving a combination of chemotherapy and radiation had a greater adjusted mean overall survival (11.17 months) than other treatment groups. Sex, age, race/ethnicity, income level, and treatment facility were also found to be outcome predictors. This study highlights additional policy work needed to improve SCLC outcomes for patients with non-private insurance.
Author Contributions
RS designed the study, obtained the dataset, performed all data management, and conducted the statistical data analysis. RB drafted the manuscript. RS, HL, and GM assisted with drafting the manuscript. RB, HL, and GM participated in the design of the study and interpretation of the findings. All Authors read and approved the final manuscript.
Ethics Statement
With the support from the Chair of Louisiana State University Hospital in Shreveport (currently University Health Shreveport) Cancer program, RL has applied and has been awarded the NCDB Participant Use Data File (PUF) for 1998 to 2012 from the Commission on Cancer (CoC). The PUF is a Health Insurance Portability and Accountability Act-compliant data file containing cases submitted to the Commission on Cancer’s (CoC) NCDB. The PUF contains de-identified patient-level data that do not identify hospitals, healthcare providers, or patients as agreed to in the Business Associate Agreement that each CoC-accredited program has signed with the American College of Surgeons. The PUFs are designed to provide investigators associated with CoC-accredited cancer programs with a data resource they can use to review and advance the quality of care delivered to cancer patients through analyses of cases reported to the NCDB. NCDB PUFs are only available through an application process to investigators associated with CoC-accredited cancer programs.
Acknowledgements
The Authors wish to acknowledge the Commission on Cancer of the American College of Surgeons and the American Cancer Society for making public data available through the NCDB. The data used in this study were derived from a de-identified NCDB file. The American College of Surgeons and the Commission on Cancer have not verified and are not responsible for the analytic or statistical methodology employed or the conclusions drawn from these data by the investigator.
Conflicts of interest
The authors have no conflicts of interest to disclose.
References
1. American Cancer Society. Cancer Facts & Figures 2016. Cancer.org. https://www.cancer.org/research/cancer-facts-statistics/all-cancer-facts-figures/cancer-facts-figures-2016.html. Published 2019. Accessed December 22, 2019.
2. National Cancer Institute. Small Cell Lung Cancer Treatment (PDQ®)–Health Professio1nal Version. 2019. https://www.cancer.gov/types/lung/hp/small-cell-lung-treatment-pdq. Accessed December 22, 2019.
3. Cancer.org. Lung Cancer Causes | Lung Cancer in Non-Smokers. 2019. http://www.cancer.org/cancer/lungcancer-smallcell/detailed-guide/small-cell-lung-cancer-what-causes. Accessed December 22, 2019.
4. Johnson B, Grayson J, Makuch R, et al. Ten-year survival of patients with small-cell lung cancer treated with combination chemotherapy with or without irradiation. Journal of Clinical Oncology. 1990; 8(3):396–401. doi: http://doi.org/10.1200/jco.1990.8.3.396.
5. Pezzi TA, Schwartz DL, Pisters KMW, et al. Association of Medicaid Insurance With Survival Among Patients With Small Cell Lung Cancer. JAMA Netw Open. 2020; 3(4):e203277. doi: http://doi.org/10.1001/jamanetworkopen.2020.3277.
6. Zhou K, Shi H, Chen R, et al. Association of Race, Socioeconomic Factors, and Treatment Characteristics With Overall Survival in Patients With Limited-Stage Small Cell Lung Cancer. JAMA Netw Open. 2021; 4(1):e2032276. doi: http://doi.org/10.1001/jamanetworkopen.2020.32276.
7. Shi R, Diaz R, Shi Z, Duvall E, Mills G. The Effect of Payer Status on Survivial of Patients with Stage I/II Non-small Cell Lung Cancer: NCDB 1998–2011. Anticancer Res. 2016; 36(1):319–26.
8. Shi R, Taylor H, McLarty J, Liu L, Mills G, Burton G. Effects of payer status on breast cancer survival: a retrospective study. BMC Cancer. 2015; 15(1). doi: http://doi.org/10.1186/s12885-015-1228-7.
9. Master S, Mansour R, Devarakonda S, Shi Z, Mills G, Shi R. Predictors of survival in acute myeloid leukemia by treatment modality. Anticancer Res. 2016; 36(4):1719–1727.
10. Shi Z, Peddi P, Burton G, Mills G, Shi R. Effect of postmastectomy radiation on survival of AJCC pn2/n3 breast cancer patients. Anticancer Res. 2016; 36(1):261–269.
11. Roetzheim R, Gonzalez E, Ferrante J, Pal N, Van Durme D, Krischer J. Effects of health insurance and race on breast carcinoma treatments and outcomes. Cancer. 2000; 89(11):2202–2213. doi: http://doi.org/10.1002/1097-0142(20001201)89:11<2202::aid-cncr8>3.0.co;2-l.
12. Hastert T, Ruterbusch J, Beresford S, Sheppard L, White E. Contribution of health behaviors to the association between area-level socioeconomic status and cancer mortality. Soc Sci Med. 2016; 148:52–58. doi: http://doi.org/10.1016/j.socscimed.2015.11.023.
13. Clegg L, Reichman M, Miller B, et al. Impact of socioeconomic status on cancer incidence and stage at diagnosis: selected findings from the surveillance, epidemiology, and end results: National Longitudinal Mortality Study. Cancer Causes & Control. 2008; 20(4):417–435. doi: http://doi.org/10.1007/s10552-008-9256-0.
14. Ghaferi A, Dimick J, Birkmeyer N, Birkmeyer J. Socioeconomic Disparities In Mortality After Cancer Surgery: The Role Of Failure To Rescue. Journal of Surgical Research. 2011; 165(2):268. doi: http://doi.org/10.1016/j.jss.2010.11.435.
15. Massarweh N, Chiang Y, Xing Y, et al. Association Between Travel Distance and Metastatic Disease at Diagnosis Among Patients With Colon Cancer. Journal of Clinical Oncology. 2014; 32(9):942–948. doi: http://doi.org/10.1200/jco.2013.52.3845.
16. Lin C, Bruinooge S, Kirkwood M, et al. Association Between Geographic Access to Cancer Care, Insurance, and Receipt of Chemotherapy: Geographic Distribution of Oncologists and Travel Distance. Journal of Clinical Oncology. 2015; 33(28):3177–3185. doi: http://doi.org/10.1200/jco.2015.61.1558.
17. Sheppard A, Chiarelli A, Marrett L, Nishri E, Trudeau M. Stage at Diagnosis and Comorbidity Influence Breast Cancer Survival in First Nations Women in Ontario, Canada. Cancer Epidemiology Biomarkers & Prevention. 2011; 20(10):2160–2167. doi: http://doi.org/10.1158/1055-9965.epi-11-0459.
18. O’Malley C, Shema S, Cress R, et al. The Implications of Age and Comorbidity on Survival Following Epithelial Ovarian Cancer: Summary and Results from a Centers for Disease Control and Prevention Study. J Womens Health. 2012; 21(9):887–894. doi: http://doi.org/10.1089/jwh.2012.3781.
19. Ruterbusch J, Ali-Fehmi R, Olson S, et al. The influence of comorbid conditions on racial disparities in endometrial cancer survival. Am J Obstet Gynecol. 2014; 211(6):627.e1–627.e9. doi: http://doi.org/10.1016/j.ajog.2014.06.036.
20. Kalemkerian GP, Akerley W, Bogner P, et al. Small Cell Lung Cancer. J Natl Compr Cancer Netw JNCCN. 2013; 11(1):78–98.
21. National Cancer Database. American College of Surgeons. https://www.facs.org/quality-programs/cancer/ncdb. Accessed February 16, 2020.
22. Charlson M, Pompei P, Ales K, MacKenzie C. A new method of classifying prognostic comorbidity in longitudinal studies: Development and validation. J Chronic Dis. 1987; 40(5):373–383. doi: http://doi.org/10.1016/0021-9681(87)90171-8.
23. Shi R, Taylor H, Liu L, Mills G, Burton G. Private Payer’s Status Improves Male Breast Cancer Survival. Breast J. 2015; 22(1):101–104. doi: http://doi.org/10.1111/tbj.12523.
24. Parikh R, Grossbard M, Green B, Harrison L, Yahalom J. Disparities in survival by insurance status in patients with Hodgkin lymphoma. Cancer. 2015; 121(19):3515–3524. doi: http://doi.org/10.1002/cncr.29518.
25. Shi R, Munker R. Survival of patients with mixed phenotype acute leukemias: A large population-based study. Leuk Res. 2015; 39(6):606–616. doi: http://doi.org/10.1016/j.leukres.2015.03.012.
26. Munker R, Shi R, Nair B, et al. The Shreveport Myeloma Experience: Survival, Risk Factors and Other Malignancies in the Age of Stem Cell Transplantation. Acta Haematol. 2015; 135(3):146–155. doi: http://doi.org/10.1159/000440970.
27. Ward E, Halpern M, Schrag N, et al. Association of Insurance with Cancer Care Utilization and Outcomes. CA Cancer J Clin. 2008; 58(1):9–31. doi: http://doi.org/10.3322/ca.2007.0011.
28. Robbins A, Pavluck A, Fedewa S, Chen A, Ward E. Insurance Status, Comorbidity Level, and Survival Among Colorectal Cancer Patients Age 18 to 64 Years in the National Cancer Data Base From 2003 to 2005. Journal of Clinical Oncology. 2009; 27(22):3627–3633. doi: http://doi.org/10.1200/jco.2008.20.8025.
29. Lukavsky R, Sariego J. Insurance Status Effects on Stage of Diagnosis and Surgical Options Used in the Treatment of Breast Cancer. South Med J. 2015; 108(5):258–261. doi: http://doi.org/10.14423/smj.0000000000000281.
30. Loehrer A, Chang D, Hutter M, et al. Health Insurance Expansion and Treatment of Pancreatic Cancer: Does Increased Access Lead to Improved Care? J Am Coll Surg. 2015; 221(6):1015–1022. doi: http://doi.org/10.1016/j.jamcollsurg.2015.09.010.
31. Walker G, Grant S, Guadagnolo B, et al. Disparities in Stage at Diagnosis, Treatment, and Survival in Nonelderly Adult Patients With Cancer According to Insurance Status. Journal of Clinical Oncology. 2014; 32(28):3118–3125. doi: http://doi.org/10.1200/jco.2014.55.6258.
32. Lee H, Porell FW. The Effect of the Affordable Care Act Medicaid Expansion on Disparities in Access to Care and Health Status. Med Care Res Rev. 2020; 77(5):461–473. doi: http://doi.org/10.1177/1077558718808709.


