1 Introduction
Context is important in ecology. There are various definitions of the science of ecology, but many of them agree that it includes the study of organisms and their interactions with the biological and physical environment. In this broad sense, some understanding of the ecological context and its significance is built into the foundations of the discipline. However, context is not only conceptually important, but also crucial to ecological research practice. Many ecological processes, from relatively simple pairwise species interactions to more complex biological invasions, are systematically dependent on the environmental context and can lead to entirely different outcomes depending on the circumstances in which they occur. Because of this, causal relations that hold in one ecosystem may not hold or even reverse in another. This raises far-reaching concerns about the validity of causal inference, the extent to which causal relationships can be stable across different environments, and the reliability of environmental management strategies. Although ecologists frequently and increasingly attribute variations in the outcome of empirical studies to context dependence (Chamberlain, Bronstein, and Rudgers 2014; Catford et al. 2022), the underlying question of what constitutes ecological context and how it can be systematically identified and analyzed remains underexplored.
Initially, “context” appears to be a widely used and intuitively clear term, unlikely to cause confusion. However, this apparent clarity contrasts with its inconsistent use in the literature and, at the same time, obscures several conceptual and epistemological issues. In the current literature, the term “context” often refers to different things, ranging from the spatiotemporal location of a study to very specific factors that are known to cause context dependence. In relation to the latter, however, there is no clear idea of which factors are fundamentally involved, ranging from very abstract ones such as space and time to very concrete, physical environmental factors. Thus, there is arguably some confusion about the ecological context, which exacerbates the epistemological problem of integrating context into experimental and other research practices in ecology.
In addition to that, this also raises broader metaphysical questions. Distinguishing the phenomenon of interest from its context rests on the assumption that the boundaries between these two things are always clear-cut and easily identifiable. However, this assumption is not always justified in the case of ecological and biological phenomena. This raises the question of what exactly constitutes the context of ecological phenomena and how we can distinguish between what is a genuine part of the phenomenon and what is merely contextually connected to it.
This paper addresses these gaps by proposing a conceptual model of ecological context. I argue that identifying the context is a multi-stage process in which, in the first stage, a focal object is chosen. Factors that are external but still related to the focal object are subsumed under its context in later stages. Since the focal object in many ecological studies, specifically at the community level, is interactions between different species, the concept of ecological context is related to but also substantially different from the concept of the environment as it is understood in evolutionary and developmental biology. For this reason, I will argue that analyzing the ecological context in analogy to organism-environment relationships does not do justice to the specificity of context dependence in ecology. Contextual factors are important for a diverse array of ecological phenomena, but in a different and broader sense than the environment is important for the organism. For this reason, I will argue that we should approach the problem of ecological context from the perspective of the processes of ecological interest, e.g., interactions between different species, rather than from the perspective of the entities that are engaged in these processes.1
Building on this foundation, the model I propose can not only provide a common framework for addressing different types of conditions that play a role in the occurrence of ecological phenomena, but it can also serve as a general template or schema for addressing the role of context in assessing the transferability of ecological relationships between ecosystems.
In the sections that follow, I start with identifying adequacy criteria that a more precise concept of ecological context should satisfy in section 2. I will broadly follow ameliorative approaches to conceptual analysis in this section, and look closely at how the concepts of context and context dependence are currently used in the ecological literature and how we can make these uses more precise. Section 3 then engages in explicating the concept of context through addressing each of these criteria in turn. The resultant conceptual model of ecological context is further discussed and illustrated in section 4, where I also briefly discuss how it aligns with and enhances current approaches to transferability in ecology. Section 5 concludes.
2 What Is the Context and What Should It Be?
Despite its widespread use, ecologists rarely explicitly define the term “context.” Consequently, context is often identified with the environment or left undefined altogether. One exception to this rule is Bradley et al. (2020). They define “context” as the “unique properties of a location of interest (at any scale) that determine ecological functionality” (Bradley et al. 2020, 987). According to this understanding, the context of an ecological relationship is specific to the location of this relationship, but only to the extent that we can characterize this location in terms of those properties that determine ecological functionality. While this definition provides a basis for thinking about ecological context and context dependence, I suggest that we can increase clarity by being more explicit about the individual components of this definition.
For example, locations can have many types of properties that can influence ecosystem functions, not all of which should thereby be relevant parts of the ecological context. For example, the incidental runoff of nutrients from a container into a lake definitely influences the ecosystem functions that subsequently occur in that lake. However, it is questionable whether we should categorize this incidental runoff as part of the ecological context and not as a genuinely external influence on the whole system.
Furthermore, the requirement that context consists of those properties of locations that determine ecological functionality is slightly ambiguous. Does this mean that everything that would appear as a factor in a multiple regression model of some ecological phenomenon, e.g.,
(1)
is thereby, i.e., in virtue of being part of the function for Y, also part of its context? If this were the case, then every multi-causal relationship would, in virtue of being multi-causal, also be context-dependent. While the two are often co-occurring, they are not the same. For this reason, equating them would not only be incorrect, but also reduce the usefulness of the terms “context” and “context dependence” to refer to a particular type of variation in ecological relationships.
Lastly, the requirement that context consists of the unique properties of locations seems to be unnecessarily restrictive. Bradley et al. likely want to point out that the properties responsible for context dependence are unevenly distributed across space and time and, therefore, cannot be inductively assumed to be instantiated at different locations. However, just because these properties are unevenly distributed does not mean they are generally unique to each location. Two different locations may still be relatively more similar to each other in terms of their properties than to a third location. Furthermore, if taken literally, this would make every instance of context dependence an occurrence unique to a particular location, which seems too strong as a general requirement for ecological context.
In this paper, I will provide an explication of the concept of “ecological context” that avoids these difficulties. I broadly follow the tradition of ameliorative approaches to conceptual analysis, which forego the identification and justification of necessary and sufficient conditions that adequately reflect the original concept’s essence in favor of a more normative account (Justus 2012; Dutilh Novaes 2020). Accordingly, in this section, I will raise the question of how the concept of “ecological context” should be understood to be both fruitful and reasonably precise for its use in ecology. The aim is to provide a common framework for addressing different types of conditions that play a role in the occurrence of ecological phenomena, thus helping to structure research questions and hypotheses.2
While the intuitive meaning of the term “context” may seem straightforward, there are some conceptual problems that stand in the way of such a clarification. In this section, I will introduce and discuss these problems and show how they each give rise to adequacy criteria that a more precise concept of ecological context should satisfy.
The first problem is that ecologists often use the term “context” in two different senses: namely, on the one hand, in the broad sense of the geographical or spatiotemporal location in which ecological relationships take place, and, on the other, in the sense of a specific interactive factor. In the first sense, context is thought of as something like the medium in which ecological relationships occur. It can often be localized geographically and described through several environmental parameters that can be measured at that location. In that sense, “context” is a catch-all term for the environmental conditions under which observations of ecological processes are made. In the second sense, the meaning of context is more restricted and specific, as it refers to an already identified interactive factor that constitutes and defines the context of an ecological relationship. For example, whether an interspecific interaction where one species protects another from enemies is positive and, therefore, mutualistic depends on the number of enemies within the system. Below a certain threshold of enemy abundance, the interaction can be either neutral or sometimes even negative (Bronstein 1994). Context used in the second sense would then refer to this specific factor of enemy abundance.
This ambiguity in the concept of context raises the question of how the two meanings are related. Should the interacting factors themselves be understood as the context of an ecological relationship, or are they more appropriately described as features or parts of the context? Answering this question is essential for individuating different contexts and gives rise to the individuation criterion: the concept of ecological context should be precise enough to suggest criteria for individuating different contexts.
Second, there is the question of which types of factors are potentially relevant parts of the context. In the ecological literature, different types of drivers of context dependence are suggested, including specific and measurable biotic and abiotic factors, as well as more conceptual and abstract drivers such as geographic location, space, or time. For instance, in their meta-analysis of the prevalence of context dependence in species interactions, Chamberlain, Bronstein, and Rudgers (2014) listed four gradients along which variation was reported in the literature. In addition to abiotic factors of the physical environment and biotic factors, they also mention spatial and temporal variation between different geographic locations and measurements at multiple points in time (Chamberlain, Bronstein, and Rudgers 2014, 3).
However, this raises a question not only about the very nature of the drivers of context dependence but also about the scope of the ecological context. Context dependence frequently manifests through variation across space and time, but does that imply that space and time as such are also factors that cause context dependence? The worry is that that the concept of ecological context may be too broad and include factors that, by themselves, have no real causal influence on the outcome of an observed ecological process.
However, there is also the opposite worry that this conception is too narrow. In fact, as the various social-ecological systems approaches have argued, the limitation of ecological context to biological and physical factors, to the exclusion of anthropogenic factors or human-social influence more generally, may lead to mistakes in identifying ecosystem dynamics (Liu et al. 2007; Partelow 2018; Liu et al. 2021). This would suggest that the exclusive focus of traditional ecology on biotic and abiotic factors when discussing context dependence represents an important limitation in current ecological practices (Inkpen 2017). These problems give rise to the demarcation criterion: The concept of ecological context should be sufficiently clear to guide answering boundary questions about which features do and do not belong to the context of an ecological phenomenon.
Lastly, there is the question of what the ecological context is the context of. Typically, the intuitive notion of context involves identifying a focal object that one is making claims about and then subsuming everything external but also related to this focal object under its context. This means that the ecological context always depends, to a certain extent, on the specific interests of the researcher. Context is itself context-dependent. The choice of a focal object represents the first step in determining the ecological context, which is always interest-relative. However, once a focal object has been selected, the question of which external factors are relevant components of the ecological context of this focal object is no longer equally dependent on interests, but must ultimately be determined empirically. In order to arrive at a general concept of ecological context that enables such a determination, not only must general criteria be established as to which factors are to be included, but it must also be clear what the typical focal object of ecological research questions is. One suggestion that immediately comes to mind is to identify the ecological context with the environment of an organism. This would be in line with the general orientation that puts the organism and its relations to the environment at the center of ecological research (e.g., Mason and Langenheim 1957; Levins 1968; Glymour 2011). However, we may ask whether it makes sense to define the ecological context in a similar way to the environment from the organism’s perspective. Not only are there numerous units of analysis in ecology besides the organism – such as populations, communities, and ecosystems – but ecological explanations also frequently cut across levels of organization. In many cases, the focal object of ecological investigation is situated at an intermediate level, where organisms of different species interact, generating processes of ecological interest. Furthermore, the relevance of the concept of context in the recent ecological literature derives from the observation that these processes themselves are often highly variable. These considerations make it questionable whether the organism-environment perspective is sufficient to grasp everything relevant concerning the notion of ecological context. This gives rise to the identification criterion, according to which the concept of ecological context should always be explicit about what it is the context of, i.e., what the focal object is, and it should thereby clarify the relation between the concepts of ecological context and the environment.
In the next section, I address these adequacy criteria before proposing a novel conceptual model of ecological context in section 4.
3 Explicating Context
I will start my discussion of the just-defined adequacy criteria in reverse order and begin with the identification criterion, as this is logically the most fundamental. Once it is established how to identify the focal object to which a context applies and how to demarcate the constitutive factors of that context systematically, the problem of the individuation of distinct contexts can be addressed in a principled manner.
3.1 Identifying the Focal Object
This section is concerned with the identification criterion, i.e., the question of how to identify what the ecological context is the context of. In section 2, I phrased this question in terms of what the focal object to which the ecological context typically applies is or should be. I have further raised the question of whether we should think of this along the lines of organism-environment interactions. In this section, I will propose an alternative answer to this question that suggests understanding the focal object in a broader sense, namely, as ecological processes.
Nevertheless, approaching the concept of context in analogy to the concept of environment seems initially promising. The ecological literature very often phrases the problem of context dependence in terms of dependence on environmental context, forging a conceptual connection between the concepts of ecological context and environment. Furthermore, although ecological study is directed at different units of research (populations, communities, ecosystems) and spans several levels of organization, the perspective on organisms in their interaction with each other and with the environment is still fundamental to ecology. It has also been an essential part of its connection to evolutionary biology. For this reason, further clarifying the notion of context requires explaining its relation to the closely related concept of the environment.
A classic analysis of the environment concept comes from Robert Brandon (1990, 1996). He distinguishes between three different concepts of environment: the external, ecological, and selective environment, which differ in how they are measured. The external environment is “the sum total of the factors, both biotic and physical, external to the organism that influence its survival and reproduction” (Brandon 1990, 47). These are factors that exist and can, in principle, be measured independently of the organism. Brandon refers to this conception of the environment as “the operative conception in ecology” (Brandon 1990, 47). In this sense, the external environment is the environment with which organisms interact. The second concept is the ecological environment, which “reflects those features of the external environment that affect the organisms’ contributions to population growth” (Brandon 1990, 49). This environment concept involves a shift of perspective, because the ecological environment concept is not measured independently of the organism but from the organism’s perspective. The aim is to get at “the environment as experienced by the target organism” (Brandon 1996, 164). Accordingly, the factors measured to determine the ecological environment represent a subset of the external environment.3
Using these environment concepts as a template already provides some conceptual resources to unify the different ways in which ecologists use the term “context.” Frequently, when ecologists talk about environmental context, what they refer to are the ecological conditions that are found at a particular location or that are characteristic of a type of environment. These conditions include abiotic factors such as climate indicators (e.g., average precipitation and temperature), soil properties, and nutrients, as well as biotic factors like community structure, composition, and species richness that provide a delineation of the biologically relevant characteristics at a location. These are all very similar to the external environment concept, as they can be measured and recorded in principle independently of any focal organism. At the same time, ecologists are also interested in the effects of specific contextual factors on the magnitude and sign of ecological processes. Understanding context in this sense means understanding how processes vary in response to particular factors. This perspective is similar to the ecological environment in that a contextually relevant factor is a subset of the external environment that has specific effects on the focal object.
The key difference between the environment concepts and the notion of ecological context is that the focal object of the ecological context is not necessarily and indeed not even typically the organism, as in the case of the ecological environment concept. To be sure, this is a difference in perspective more than anything else, but one that is crucial nevertheless. Consider the following example.
In a study on the invasive giant bamboo, Phyllostachys bambusoides, Spake et al. (2021) investigated the effects of forest canopy cover on bamboo occupancy in secondary forests in Japan. Specifically, they were interested in the effect of shading caused by the surrounding forest canopy and its consequences for bamboo invasion potential. Generally, shading caused by the canopies of large trees is a form of interspecific competition, as it limits the amount of light available for understory vegetation. In contrast, physiological studies of P. bambusoides have shown that giant bamboo displays photoinhibition at specific light intensities, meaning that the excess excitation energy caused by higher light intensities inhibits photosynthesis. The shade cast by the surrounding forest canopy may thus not be a competitive but rather a facilitative factor, and could partly explain invasion success. In our case, the shade cast by the surrounding forest canopy may be facilitative because it protects P. bambusoides from excess light intensities, which would otherwise suppress its population growth and thereby promote its invasion potential. However, the study revealed that the situation was even more complex, in that the relation between the percent canopy cover and bamboo occupancy is systematically dependent on mean annual temperature. In warmer regions, and for a broader range of light intensities, canopy shade is in fact a competitive factor and can inhibit bamboo occupancy. However, in cooler regions combined with higher light intensities, shade cast by native tree species turns into a facilitative factor for bamboo invasion. So, while the interspecific interaction between invasive P. bambusoides and surrounding tree species is facilitative in cool temperatures, it switches to being competitive in warm temperatures. This paradigmatic case of ecological context dependence tells us something relevant about the identification criterion.
In principle, there would be several possibilities for measuring contextual factors in this case. We could either focus on the organism of interest, in our case P. bambusoides, subsume the interaction partner, i.e., native tree species, together with other biotic and abiotic factors, under the ecological environment, and then measure their joint influence on the organism’s contribution to population growth. This would make sense since the interaction partner in an ecological interaction, whether positive or negative, likely affects this contribution. However, although this makes sense from an evolutionary perspective on organism-environment interactions, with an eye on fitness contribution and selection pressures, it does not make much sense from the ecological perspective of studying the mechanisms of species interactions and their variable contribution to community structure and dynamics in the environmental context. In this case, the focal object is not so much the organism and its relation to the environment, but rather the process of the interspecific interaction in and of itself, including its relation to the broader ecological context. Collapsing the interaction partner into the category of biotic factors measured from the perspective of a particular organism does not make sense in this respect, since it does not allow us to ask how processes vary in response to contextual factors. So, while Brandon’s concept of the ecological environment points us in the right direction, we should understand the second aspect of context differently from the ecological environment – namely, as those factors of the external environment that influence the focal process and thereby change its outcome.
Conceptual models of organism-environment interactions do not provide the same kind of information as models of ecological processes and their interactions with the ecological context. Whereas organism-environment interactions record phenomena at the organism level, process-context models are more suitable to record phenomena at different levels of organization of interest to ecologists. In the case at hand, the process-context view can be applied at the level of interacting populations of organisms of different species and be used to ask how contextual factors constrain the population growth of one of them. It could also be used to raise questions at the community level, in asking how the environmental context influences community structure by shaping interspecific interactions.
Process-context models, as suggested here, are thus more flexible in the sense of being applicable at different levels and to different understandings of ecological units (Jax 2006). They help us understand how context shapes ecological processes, such as interspecific interactions in ecosystems. In this sense, both types of models are suitable for answering different kinds of questions, which harks back to the point above that the key difference here is one about perspective. Ecological communities, understood in their broadest and most metaphysically neutral sense as interactions of species with each other and with their environment at a particular point in space and time, can be studied from different perspectives and with different explanatory goals. Depending on these interests, standard organism-environment models or process-context models, as I am suggesting in this paper, may be more or less suitable to achieve these epistemic goals. Because of its connection to the processes, the notion of ecological context can add a distinct dimension that is not covered by the concept of the environment. For this reason, I argue that the ecological context should be understood relative to a focal process, thereby providing an answer to the identification criterion.
3.2 Demarcating Relevant Contextual Factors
With that, I come to the problem of demarcation. The demarcation problem was about the question of which types of factors to include in the theoretical understanding of the ecological context. This is an important problem. Semantically, the very term “context” is broad. Everything external to the focal object can, in principle, be considered to be part of its context. Even if one includes the defining condition that parts of the context must be interrelated with the focal object, that is still a tall order. Too tall, anyway, to make the concept useful in practice, one might argue. We therefore need criteria to decide what to include as part of the context and what to exclude on conceptual grounds.
There are two aspects to this problem. The first is qualitative and is about what types of factors to consider. Is it just biotic and abiotic factors that constitute ecologically relevant context, or should we also take into account other factors like social or anthropogenic ones? The second aspect is not about the type of factors but about their relevance. Factors that are part of the ecological context may not all be equally relevant to the focal process, in the sense of not accounting for context dependence or similar problems for causal inference and understanding. Part of the demarcation problem, therefore, is also to demarcate relevant contextual factors that affect the focal object in a particular way from more benign factors that principally also belong to the ecological context but do not interfere so much with our epistemic aims.
I will discuss both aspects of demarcation, in turn, starting with the qualitative aspect in section 3.2.1. I will argue that there are strong theoretical reasons to include anthropogenic and other factors in the ecological context and to view this context as a hierarchically nested structure. I will return to the problem of relevance in section 3.2.2.
3.2.1 Demarcating Types of Factors
The usual characterization of context in terms of biotic and abiotic factors provides a first narrowing-down of factors to consider. However, some questions remain. As we have seen, there is the problem of how to account for more abstract drivers of context dependence that are also frequently mentioned in the literature, like space, time, or geographic location. For example, Bradley et al. (2020, 995), in their study of the habitat function of mangroves, mention spatial and temporal factors, namely “landscape configuration, such as isolation” and “periodicity, e.g., flooding regimes” of the surrounding environment that can influence the habitat suitability of mangroves at different locations. It is well known that such spatial and temporal patterns can affect ecological processes at different scales of observation (Fletcher and Fortin 2018; Frühstückl 2025). However, while the spatial and temporal structure of the abiotic and biotic factors at a location is, therefore, part of the ecological context, there are also good reasons to differentiate between the factors themselves and their spatial and temporal structure at a location.
Variation in space and time is how context dependence typically manifests. This makes ecological relationships variable across space and time without thereby making space and time causal factors themselves, however (Catford, Jansson, and Nilsson 2009). Rather, ecological processes are influenced by environmental factors, and these factors themselves are spatially and temporally structured. Thus, to the extent that space and time are relevant contextual factors themselves, this is arguably only indirectly through spatially or temporally structuring biotic and abiotic factors at a location. For this reason, while environmental factors can be direct causal factors for ecological processes, space and time matter only indirectly.
In addition, in section 2, I have raised the question of how to treat anthropogenic factors concerning ecological context. While the notion of environmental context as consisting of biotic and abiotic factors might already seem to be all-encompassing, factors that originate in human activity are typically not conceptualized as belonging to the ecological context. If considered at all, they are more often seen as non-natural factors that are external to the “natural” ecosystems that are the object of scientific interest. Inkpen (2017) gives a detailed discussion and interpretation of this tendency to treat humans as “disturbing factors” in terms of model-idealization. Humans are seen as disturbing conditions because their impact prevents a proper understanding of the target ecosystems. However, as Inkpen argues, this practice of idealizing away anthropogenic factors has rarely been adequately justified.
In contrast, proponents of research into social-ecological systems have long pointed out that ecosystems’ structure and processes are rarely independent of human activity and have thus argued for an integrated study of the interactions between human and natural systems (Steel 2014; Pataki 2019; Liu et al. 2021). Sarkar (2005) mentions a pertinent example of this. To promote bird biodiversity, human-induced grazing was banned in Keoladeo National Park in Rajasthan, India, in the 1980s. However, contrary to initial expectations, the ban had adverse effects on biodiversity. The reason was that different species of the Paspalum genus of grasses and other weeds, previously controlled by grazing, could now spread through the wetlands thereby suffocating shallow bodies of water. As a result, fish species declined, which was followed by a decline in bird populations (Sarkar 2005, 42).
There are many cases like this, where the causal effect of an intervention in a natural system depends on the level of an anthropogenic factor, like agricultural practice or other forms of cultivation. For this reason, human-nature interactions have become an important component of ecological studies at several scales. Very often, however, they are dealt with in specialized sub-disciplines. In contrast, the concept of context could serve as a unifying framework that includes anthropogenic factors in the consideration of the ecological context in general.
While anthropogenic drivers are thus certainly part of the ecological context and, thus, generally not to be treated as exogenous variables, I think there is a similar distinction between direct and indirect drivers to be made at this point. To the extent that anthropogenic factors influence ecological processes, at least some of the time, this does not have to be directly relevant to the focal process – it can also be through their effects on other abiotic and biotic drivers. For instance, in the example above, human-induced grazing of grasslands changes the species composition of the ecosystem, with further downstream effects on community dynamics. In this case, as in the case before, we do not have to account for the anthropogenic factor directly, but can instead measure its influence on the abiotic and biotic features of the system.
Accounting for indirect drivers like spatial and temporal structure and anthropogenic effects in this way reveals that for some epistemic aims, considering the ecological context in terms of abiotic and biotic factors will suffice for arriving at a sufficient understanding of the structure and processes of a system. However, in other cases, considering more remote factors, such as spatial and or temporal structure or the anthropogenic influence on some biotic or abiotic factors, can be relevant for getting an adequate picture of the causal relationships, possible pathways of intervention within the studied system, and, in particular, questions about transferability of causal relationships to novel systems. What this suggests is that the context of ecological relationships has a nested structure with factors at the center that have a direct influence on the observed relationship and more remote factors that influence the direct factors in turn. I will come back to the question of what this means for individuating different contexts in section 3.3. Before that, I want to address the second problem of demarcation, which is about relevance.
3.2.2 Demarcating Relevant Factors
Considering the context of an ecological relationship so far boils down to considering several biotic and abiotic factors that describe the conditions under which an ecological relationship is observed. However, figuring out these conditions is only the first step toward analyzing processes in context. Not every factor that is part of the ecological context will also be responsible for context-dependent effects. This raises the question of how we can distinguish between those factors of the ecological context that are responsible for context dependence and those that are only potentially relevant. In this section, I will argue that a criterion should be defined in terms of the causal relationships between contextual factors and the focal process within a broader causal structure. I will also sketch how a structural causal modeling (SCM) framework can be used to systematically test for the influence of contextual factors.
Before going into that, it is perhaps helpful to clarify how ecologists typically conceptualize context dependence in standard statistical models. Ecologists measure context dependence in terms of statistical interactions (Duncan and Kefford 2021; Spake et al. 2023). According to this understanding, the relationship between variables X and Y, representing ecological factors, is context-dependent if the magnitude or sign of the effect of X on Y depends on the value of a third variable, Z. In a causal interpretation, this means that the effect of intervening on X to change the value of Y depends at least on some value(s) of Z. Considering X and Y to be the variables that represent the entities of the focal ecological process, Z is not only part of the ecological context from the perspective of the X − Y relationship but also a relevant contextual factor, since Z modifies the effect of X on Y. Thus, Z needs to be accounted for in a causal model of the process by which X influences Y. This accords with Nancy Cartwright’s point about interactive causal factors: “Two causal factors are interactive if in combination they act like a single causal factor whose effects are different from at least one of the two acting separately” (Cartwright 1983, 31). For this reason, context matters not only to get a clearer picture of the kinds of factors that linearly influence a phenomenon or process but also because the contextual factor, through its interaction with the focal process, is part of the causal structure of the phenomenon. Thus, a more adequate model for the context-dependent relationship between X and Y, in contrast to equation (1) from section 2, is given in equation (2), where the term XZ describes the interaction between X and Z.
(2)
However, I suggest that we can use the information about the relationship between X and Y with respect to Z that is contained in equation (2) to formulate a general criterion of relevance of contextual factors which I call the causal path criterion:
Let X and Y stand for ecological variables as before, and let ei (= Z) denote any biotic or abiotic environmental factor out of a set of such factors that are part of the context of the X − Y relationship. Then, ei) is a relevant contextual factor if it satisfies the following condition:
(3)
In this inequality, θ represents a threshold value for measurements of ei. As ei crosses this threshold value, the effect of intervening on X to change Y changes either in magnitude or direction. (In the binary case, where it is merely about the presence of ei, θ would be either 0 or 1.) In contrast, if this condition is not fulfilled, an environmental factor ei would still be part of the ecological context, and it could, in principle, also contribute linearly to the occurrence of Y. However, it would not be necessary to include it in a conceptualization of the X − Y relationship. According to the causal path criterion, a contextual factor becomes relevant if it changes the effect of intervening on the independent variable to change the dependent variable. Relevant contextual factors are thus in some sense part of the causal pathways of the focal relationships and, therefore, need to be taken into account when estimating the causal effect of an independent variable X on a dependent variable Y.
A contextual factor relevant to the causal structure of an ecological relationship represents a distinct type of influence. While numerous biotic or abiotic factors can, in principle, affect an observed relationship, they do not all do so in the same way. Omitting or altering many such factors in a causal model of the X − Y relationship may lead to less precise predictions of the outcome, but it will not alter the causal effect of X on Y. In contrast, changes in the factor ei directly modify the effect of X, making ei integral to understanding and conceptualizing the X − Y relationship and the corresponding ecological phenomenon.
The difference here is about whether factors contribute additively or interactively to their effect. Consider the effects of a fertilizer and of planting companion plants on crop growth rates as an example. Both the amount of fertilizer applied and the planting of companion plants will have a causal effect on plant growth. However, when their combined effect is additive, the specific effect of fertilizer on plant growth will stay the same even if we don’t plant any companion plants. If, however, the two factors were interactive, omitting any one factor would impact the causal effect of the other factor. In this case, not planting companion plants would reduce the effectiveness of the fertilizer on plant growth.
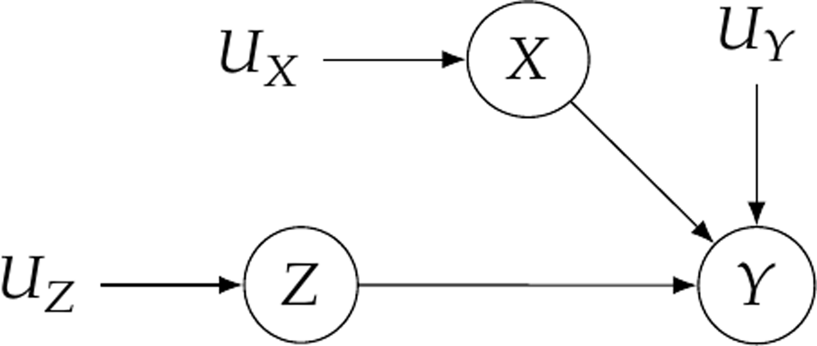
The causal path criterion is best used in connection with structural causal models. These models combine structural equations with graphical causal models. While structural equations describe how the value of a variable of interest is a deterministic function of some endogenous variables plus unmeasured exogenous variables (see equation (4)), graphical models such as directed acyclic graphs (DAGs; see figure 1) visualize the assumed causal structure within a system of variables (Pearl 2009; Spirtes, Glymour, and Scheines 2000):
(4)
As Arif and MacNeil (2023) argue, using DAGs to model the structure of causal relationships in ecological systems makes it easier to identify biases and spurious associations than statistical models that just list all of the factors that are suspected to be relevant for the phenomenon in question. Furthermore, the DAG visualizes the assumptions about the causal structure within a system that can be based on a combination of already available knowledge (from the literature or expert advice) and statistical or experimental data. The conceptual model of ecological context that I am developing here can be used to assist the construction of a DAG, in that it provides a structured way of thinking about the causal influences on a focal causal relationship (I will come back to this in section 4).
Within this framework of causal inference, applying the causal path criterion amounts to comparing the effects of two different interventions:
(5)
and
(6)
and adjusting for Z accordingly when inferring the causal effect of X on Y (Pearl 2009, ch. 3).
Coming back to the question of how to draw the boundary around what is a genuine part of the phenomenon of interest and what is merely contextual about it, we can now give a two-fold answer: On the one hand, the causal path criterion allows us to make some distinction. Contextual factors that satisfy the causal path criterion are not entirely external to the phenomenon of interest. Because of their relatively tight causal integration with the observed process, they are more appropriately treated as part of the process rather than as an external condition of it.
On the other hand, this ties in with the nested structure of the ecological context. Choosing a focal object in accordance with the research aims is the first step. Identifying the context of the focal ecological process is then a stepwise process that starts with identifying the biotic and abiotic factors that can be measured at the location of the process. Depending on the aims and the scale of investigation, this can also include identifying anthropogenic factors that causally influence biotic and abiotic factors, in addition to identifying the spatial and temporal structure of the system. From there, we identify the subset of factors that account (potentially) for context dependence by applying the causal path criterion (supported by drawing a DAG of the causal system). The hierarchically nested structure of the ecological context is also the crucial final piece for addressing the individuation criterion.
3.3 Individuating Contexts
In this section, I address the individuation criterion, building on what we have established so far. Individuation is the problem of distinguishing different contexts from each other. This requires answering the following questions. First, is it already sufficient to point to two spatiotemporally distinct locations to distinguish between different contexts? This would mean assuming that different locations already constitute different ecological contexts. What speaks in favor of this view is that ecosystems are generally highly heterogeneous. This increases the likelihood that two systems, for example, one temperate deciduous forest at location A and another at location B, are actually different from each other in some of their ecologically relevant properties. On the other hand, there is nothing in the concept of context that suggests that two different locations cannot be ecologically similar enough to warrant the claim that they instantiate similar or even identical ecological contexts. So while we have reason to believe that location and context are not wholly independent of each other, equating them is equally problematic, because it is then no longer possible to distinguish between location in the sense of a spatiotemporal position and the ecologically relevant conditions that can be measured at a location.
It seems, therefore, that in order to individuate different contexts, we have to provide a description in terms of a set of factors that potentially or actually influence the focal ecological process. At the same time, there are reasons to keep the connection between ecological context and spatiotemporal location, as this is relevant for ecological research practices that use GIS and other spatially explicit models.
Here, I want to suggest that the distinction between external and ecological environment that I used to explain how we identify the focal object of the ecological context in section 3.1 and the nested structure of the ecological context together answer the individuation criterion. Context, in the sense of the spatiotemporal context of an ecological process, is the analog of the external environment. It is, in principle, independent of the process of interest and consists of the totality of biotic and abiotic factors that can be measured at a location. Context, in the sense of factors that have a specific influence on the process, is similar to Brandon’s ecological environment concept. These are factors that are not independent of the focal process insofar as, by satisfying the causal path criterion, they are part of the causal structure of the focal process.
Individuating contexts then rests on both of these aspects. It requires (i) considering the spatiotemporal context of the process, which can include more than just biotic and abiotic factors but also include anthropogenic factors, and (ii) identifying the subset of factors of the spatiotemporal context that influence sign or magnitude of the focal process according to the causal path criterion, i.e., identifying the causally relevant context. Since one is a subset of the other, these represent different but not independent aspects of an individual ecological context.
Having now identified criteria to individuate contexts, in the following section, I will bring all of these desiderata – identification, demarcation, and individuation – together in a conceptual model and explain how this can be used to approach the problem of transferability.
4 A Conceptual Model of Ecological Context
Based on the above considerations regarding the explication of the concept of context, I suggest the conceptual model of ecological context presented in figure 2. Depicted at the center of the figure is an interspecific interaction between populations of species i and j. This interaction is the focal process of investigation of the system. The arrow from Ni to Nj is meant to signify that, in this case, the investigation is about the effect of a population of species i on a population of species j. The solid outer perimeter marks the spatiotemporal location, which is also determined by the spatial and temporal scales of observation. The spatiotemporal location includes a number of anthropogenic (ai) and environmental biotic and abiotic (ei) factors. The dashed square, separating anthropogenic from environmental factors, signifies that the separation between anthropogenic and non-anthropogenic factors may be permeable and does not in any way represent a sharp boundary. Within the spatiotemporal context, investigation identifies e5 = Z as a contextually relevant factor, as it modifies the effect of population i = X on population j = Y. The slightly broader dashed ellipse around these elements signifies that by modifying the focal process, e5 is part of the causal structure of the process.
To illustrate this further, we can use this conceptual framework to analyze the case of invasive giant bamboo that I already mentioned in section 3.1. The first step is to identify the spatiotemporal context of the focal object, which is the interspecific interaction between P. bambusoides and native tree species. In particular, Spake et al. considered climatic variables (temperature, precipitation, solar radiation, sunshine duration, snow depth), topographical variables (slope and aspect), stand structure (forest canopy and type), as well as propagule pressure from giant bamboo and anthropogenic factors like distance from roads, which was used as a proxy for the time since management of bamboo forests has been abandoned. (Spake et al. 2021, 1996). The second step is then to identify, among these factors of the external environment, the relevant subset that modifies the focal relationship and thereby accounts for the observed variation in magnitude or sign. In the case of giant bamboo, Spake et al. identified an interaction between temperature, solar radiation, and native tree canopy that could explain variation in bamboo occupancy (cf. Spake et al. 2021, 1998). Because of this causal interaction, the effect of the forest canopy on bamboo occupancy can switch from positive (facilitative) to negative (competitive), which is ultimately responsible for the context dependence of the interspecific interaction between invasive bamboo and native tree species, with the associated downstream effects on transferability and management.
Thus, while processes involving invasive giant bamboo and native tree species can occur in many spatiotemporal contexts, i.e., geographic locations, when studying this interspecific interaction, temperature and solar radiation, and thus context, become an integral part of the phenomenon through their causal interaction with the focal object. What the model contributes to this understanding is a method to bring all these different factors, whether potentially or actually important, into a unifying structure.
Furthermore, this model can also help with addressing the conditions for transferability. Transferability is generally conceived of as an inference from a study to a target system, and the crucial problem lies in justifying or validating these inferences. Transferring knowledge of causal relationships from one ecosystem to another is a complex problem in general. However, it becomes even more problematic when study and target systems are both characterized by a high level of heterogeneity (Steel 2008). In recent years, concerns about the generality of ecological studies have been raised more often, and in many of these instances, context and context dependence are essential components of the problem (Bradley et al. 2020; Spake et al. 2022; Catford et al. 2022).
For instance, Spake et al. (2022) criticize ecologists for often failing to clearly specify the target systems to which their findings are supposed to be transferable:
Ecologists’ statements concerning generality in both primary case studies and syntheses often do not use formal definitions of generality and, in our experience, usually gloss over the assessments required to individuate both the studied context and the target context over which to transfer specific estimands of interest. (Spake et al. 2022, 1820)
They suggest that to remedy this situation, ecologists need to be, first, more precise about the inferences they are making, specifically, whether the inference is from sample to population or from the sampled population to a different population. Second, they also need to be more precise in specifying the study and the target context, i.e., the conditions that potentially influence the observed processes in the study system and the degree to which these are similar in the target system. To this end, they introduce the concept of parameter space (Spake et al. 2022, 1820). The parameter space is an abstract space that is spanned by the dimensions of the edaphic, taxonomic, and climatic variables of a study, such that every point in this space corresponds to a particular distribution of values for each of its dimensions. The context in which individual studies were carried out can then be located within parameter space and compared to the parameters of the target system, thereby providing more precise estimates of transferability.
Bradley et al. (2020) present a similar approach that suggests classifying the ecological contexts of studies into a typology of settings that can be used to support transferability across systems. As they define the term, a setting is a “typology that describes a collection of real world locations that are unified by key aspects of their context and that are therefore likely to share broad similarities in ecological function” (Bradley et al. 2020, 987).
Although the terminology is different, the principle is the same for both approaches. Estimating transferability consists of researching the ecologically relevant conditions for the occurrence of an ecological relationship, which also includes trying to identify those factors that potentially modify that relationship. In a second step, these conditions are then translated into an abstract structure, be that the parameter space as in Spake et al.’s model or settings as in Bradley et al.’s. The outcome is an abstract model of the conditions under which an ecological relationship is expected to be stable. This can then be used to estimate transferability to real-world ecosystems, provided we have adequate knowledge about the distribution of ecologically relevant factors and a good understanding of the causal structure of that system.
The concepts of parameter space and settings are very similar to the concept of ecological context that I have been explicating. Researching the ecologically relevant conditions and singling out those factors that potentially modify the process are analogous to identifying the spatiotemporal context and relevant contextual factors to a focal process. In addition to these approaches, however, the concept of ecological context can also provide a unifying framework that encompasses both conceptions and provides a systematic and structured way of researching the conditions that have to be satisfied for an ecological process to occur. It achieves this by placing different kinds of factors, spatial, anthropogenic, and ecological, within a common structure. In this way, it can help with analyzing processes in complex ecosystems and with addressing the problem of transferability, specifically in conservation or restoration practice.
5 Conclusion
The term “context” is a deceptively simple notion. In this paper, I have argued that despite this apparent simplicity, there are epistemological gaps in the concept of ecological context, and I have offered a comprehensive approach to deal with these gaps.
According to this conceptual model, the concept of context is related to but in some respects different from the concept of the environment. In this respect, the process-context model that I am suggesting here deviates substantially from well-established and discussed views of the organism-environment relation (Mason and Langenheim 1957; Glymour 2011). Furthermore, my model emphasizes that context is perspectival. We can study different processes in ecological systems, and, depending on the choice of focal object, the ecological context will include or exclude different kinds of factors. It follows that what acts as a modifying factor from one perspective may act as a simple linear factor when shifting the perspective to a different process within the same system. Last but not least, I have emphasized the nested structure of the ecological context that includes not only different kinds of factors but also different kinds of causal influence on the focal object. By distinguishing different kinds of factors and their different roles and by making explicit their dependence on a focal process, individuating and comparing different contexts should not only be easier, but the concept of ecological context can then also be used to add some modular structure to complex ecological systems.
To come back to the very first claim of this paper: how important is it, then, to consider the context in order to understand ecological phenomena? On the one hand, context dependence due to interaction factors can clearly complicate our understanding of ecological systems by, oftentimes unexpectedly, reducing the range of external circumstances over which relationships are stable. Context dependence and transferability, therefore, at least initially pull in opposite directions, and this conundrum is what underlies reports of context-dependent results in the ecological literature. On the other hand, an explicated concept of context allows for a systematic approach to this problem, not only by helping with the identification of potentially relevant factors, but also by systematizing conditions under which relationships can reasonably be expected to be stable. By distinguishing between those conditions that can be seen as part of the causal structure of the phenomenon from those that are merely external influences, estimating transferability becomes an iterative process by which we start with a narrow conception of the focal process that gets subsequently enriched by understanding how it relates to its context. In this sense, context is not only important as a caveat or a source of inductive risk. If properly understood, it is also a means of enhancing and extending our understanding of the phenomena of interest.
Notes
- For the sake of clarity, it should be noted at the outset that in this paper, I do not use the term “process” as it is understood in various process-based ontologies (see, e.g., Nicholson and Dupré 2018). The notion of process I draw on here is generic and minimal – namely, a sequence of activities that leads to an outcome. Accordingly, my account is not committed to the metaphysical implications of process-based ontologies, although it may be compatible with them. However, I will not address the question of the extent to which the views presented here align with a process-based ontology in this paper. ⮭
- In using the term “explication,” I should clarify that I will not follow Carnapian explication to the letter. For Carnap (1950), fruitfulness and exactness (what I call precision) are two core criteria that an explicated concept, the explicatum, should satisfy over the imprecise, prescientific concept, the explicandum. Exactness of the concept is understood as the provision of rules for its use such that it can be introduced “into a well-connected system of scientific concepts” and fruitfulness as usefulness “for the formulation of many universal statements” (Carnap 1950, 7). However, I take greater liberties in understanding these terms. I will take the concept of ecological context to be reasonably precise if it provides clear criteria for identifying and individuating different contexts, and it is fruitful to the extent that it facilitates the understanding of context-dependent phenomena in ecology and supports the consideration of context for transferability and causal inference. ⮭
- Brandon further distinguishes the concept of selective environment that is “measured in terms of the relative actualized fitnesses of different genotypes across time or space” (Brandon 1990, 49). These are the factors that differentially affect the fitness of the organism, but that are not directly relevant to the mechanisms of interspecific interactions and are, therefore, put aside for the rest of this discussion. ⮭
Acknowledgments
The author would like to thank Alkistis Elliott-Graves, Uljana Feest, Marie Kaiser, Anton Killin, and two anonymous reviewers for valuable suggestions and feedback on this paper. Funded by the Deutsche Forschungsgemeinschaft (DFG, German Research Foundation) – Project 254954344/GRK2073.
Literature cited
Arif, Suchinta, and M. Aaron MacNeil. 2023. “Applying the Structural Causal Model Framework for Observational Causal Inference in Ecology.” Ecological Monographs 93: e1554. https://doi.org/10.1002/ecm.1554.https://doi.org/10.1002/ecm.1554
Bradley, Michael, Ivan Nagelkerken, Ronald Baker, and Marcus Sheaves. 2020. “Context Dependence: A Conceptual Approach for Understanding the Habitat Relationships of Coastal Marine Fauna.” BioScience, 986–1004. https://doi.org/10.1093/biosci/biaa100.https://doi.org/10.1093/biosci/biaa100
Brandon, Robert N. 1990. Adaption and Environment. Princeton, New Jersey: Princeton University Press.
Brandon, Robert N. 1996. Concepts and Methods in Evolutionary Biology. Cambridge; New York: Cambridge University Press.
Bronstein, Judith L. 1994. “Conditional Outcomes in Mutualistic Interactions.” Trends in Ecology & Evolution 9: 214–17. https://doi.org/10.1016/0169-5347(94)90246-1.https://doi.org/10.1016/0169-5347(94)90246-1
Carnap, Rudolf. 1950. Logical Foundations of Probability. Chicago: University of Chicago Press.
Cartwright, Nancy. 1983. How the Laws of Physics Lie. Oxford: Clarendon Press.
Catford, Jane A., Roland Jansson, and Christer Nilsson. 2009. “Reducing Redundancy in Invasion Ecology by Integrating Hypotheses into a Single Theoretical Framework.” Diversity and Distributions 15:22–40. https://doi.org/10.1111/j.1472-4642.2008.00521.x.https://doi.org/10.1111/j.1472-4642.2008.00521.x
Catford, Jane A., John R. U. Wilson, Petr Pyšek, Philip E. Hulme, and Richard P. Duncan. 2022. “Addressing Context Dependence in Ecology.” Trends in ecology & evolution 37: 158–70. https://doi.org/10.1016/j.tree.2021.09.007.https://doi.org/10.1016/j.tree.2021.09.007
Chamberlain, Scott A., Judith L. Bronstein, and Jennifer A. Rudgers. 2014. “How Context Dependent Are Species Interactions?” Ecology Letters 17:881–90. https://doi.org/10.1111/ele.12279.https://doi.org/10.1111/ele.12279
Duncan, Richard P., and Ben J. Kefford. 2021. “Interactions in Statistical Models: Three Things to Know.” Methods in Ecology and Evolution 12: 2287–97. https://doi.org/10.1111/2041-210X.13714.https://doi.org/10.1111/2041-210X.13714
Dutilh Novaes, Catarina. 2020. “Carnapian Explication and Ameliorative Analysis: A Systematic Comparison.” Synthese 197: 1011–34. https://doi.org/10.1007/s11229-018-1732-9.https://doi.org/10.1007/s11229-018-1732-9
Fletcher, Robert, and Marie-Josée Fortin. 2018. Spatial Ecology and Conservation Modeling. Cham: Springer International Publishing.
Frühstückl, Robert. 2025. “Spatiotemporal Variability and Extrapolation from Ecological Experiments.” Biology & Philosophy 40: 9. https://doi.org/10.1007/s10539-025-09981-5.https://doi.org/10.1007/s10539-025-09981-5
Glymour, Bruce. 2011. “Modeling Environments: Interactive Causation and Adaptations to Environmental Conditions.” Philosophy of Science 78: 448–71. https://doi.org/10.1086/660303.https://doi.org/10.1086/660303
Inkpen, Andrew S. 2017. “Are Humans Disturbing Conditions in Ecology?” Biology & Philosophy 32: 51–71. https://doi.org/10.1007/s10539-016-9537-z.https://doi.org/10.1007/s10539-016-9537-z
Jax, Kurt. 2006. “Ecological Units: Definitions and Application.” The Quarterly Review of Biology 81: 237–58. https://doi.org/10.1086/506237.https://doi.org/10.1086/506237
Justus, James. 2012. “Carnap on Concept Determination: Methodology for Philosophy of Science.” European Journal for Philosophy of Science 2: 161–79. https://doi.org/10.1007/s13194-011-0027-5.https://doi.org/10.1007/s13194-011-0027-5
Levins, Richard. 1968. Evolution in Changing Environments: Some Theoretical Explorations. Princeton University Press. https://doi.org/10.1515/9780691209418.https://doi.org/10.1515/9780691209418
Liu, Jianguo, Thomas Dietz, Stephen R. Carpenter, Marina Alberti, Carl Folke, Emilio Moran, Alice N. Pell, et al. 2007. “Complexity of Coupled Human and Natural Systems.” Science 317: 1513–16. https://doi.org/10.1126/science.1144004.https://doi.org/10.1126/science.1144004
Liu, Jianguo, Thomas Dietz, Stephen R. Carpenter, William W. Taylor, Marina Alberti, Peter Deadman, Charles Redman, et al. 2021. “Coupled Human and Natural Systems: The Evolution and Applications of an Integrated Framework: This Article Belongs to Ambio’s 50th Anniversary Collection. Theme: Anthropocene.” Ambio 50: 1778–83. https://doi.org/10.1007/s13280-020-01488-5.https://doi.org/10.1007/s13280-020-01488-5
Mason, Herbert L., and Jean H. Langenheim. 1957. “Language Analysis and the Concept “Environment”.” Ecology 38: 325–40. https://doi.org/10.2307/1931693.https://doi.org/10.2307/1931693
Nicholson, Daniel J., and John Dupré, eds. 2018. Everything Flows: Towards a Processual Philosophy of Biology. First edition. Oxford, United Kingdom: Oxford University Press.
Partelow, Stefan. 2018. “A Review of the Social-Ecological Systems Framework: Applications, Methods, Modifications, and Challenges.” Ecology and Society 23.
Pataki, Diane E. 2019. “On the Definition of Cultivated Ecology.” Philosophical Topics 47: 181–201.
Pearl, Judea. 2009. Causality. Models, Reasoning, and Inference. 2nd ed. Cambridge: Cambridge University Press. https://doi.org/10.1017/CBO9780511803161.https://doi.org/10.1017/CBO9780511803161
Sarkar, Sahotra. 2005. Biodiversity and Environmental Philosophy: An Introduction. Cambridge Studies in Philosophy and Biology. Cambridge: Cambridge University Press.
Spake, Rebecca, Diana E. Bowler, Corey T. Callaghan, Shane A. Blowes, C. Patrick Doncaster, Laura H. Antão, Shinichi Nakagawa, et al. 2023. “Understanding ‘It Depends’ in Ecology: A Guide to Hypothesising, Visualising and Interpreting Statistical Interactions.” Biological Reviews 98: 983–1002. https://doi.org/10.1111/brv.12939.https://doi.org/10.1111/brv.12939
Spake, Rebecca, Rose E. O’Dea, Shinichi Nakagawa, C. Patrick Doncaster, Masahiro Ryo, Corey T. Callaghan, and James M. Bullock. 2022. “Improving Quantitative Synthesis to Achieve Generality in Ecology.” Nature Ecology & Evolution 6:1818–28. https://doi.org/10.1038/s41559-022-01891-z.https://doi.org/10.1038/s41559-022-01891-z
Spake, Rebecca, Masashi Soga, Jane A. Catford, and Felix Eigenbrod. 2021. “Applying the Stress-Gradient Hypothesis to Curb the Spread of Invasive Bamboo.” Journal of Applied Ecology 58: 1993–2003. https://doi.org/10.1111/1365-2664.13945.https://doi.org/10.1111/1365-2664.13945
Spirtes, Peter, Clark N. Glymour, and Richard Scheines. 2000. Causation, Prediction, and Search. 2nd ed. Adaptive Computation and Machine Learning. Cambridge, Mass: MIT Press. https://doi.org/10.7551/mitpress/1754.001.0001.https://doi.org/10.7551/mitpress/1754.001.0001
Steel, Daniel. 2008. Across the Boundaries: Extrapolation in Biology and Social Science. Oxford; New York: Oxford University Press.
Steel, Daniel. 2014. “Explanation and Intervention in Coupled Human and Natural Systems.” in Explanation in the Special Sciences: The Case of Biology and History, edited by Marie I. Kaiser, Oliver R. Scholz, Daniel Plenge, and Andreas Hüttemann, vol. 367. Synthese Library. Dordrecht: Springer Netherlands. https://doi.org/10.1007/978-94-007-7563-3.https://doi.org/10.1007/978-94-007-7563-3

